| kategória | ||||||||||
|
|
||||||||||
|
|
||
Intelligens Rendszerek
1. Perceptron
Kiegészítés az 1. előadáshoz, az órai jegyzet alapján:
A perceptron-tanító algoritmus a Delta-szabály alkalmazása
A perceptron hátránya, hogy a lineárisan nem szeparálható függvények (nem határolható el egyértelműen az igaz érték a hamistól) nem oldhatók meg vele (Pl. XOR)
Láncszabály: az összetett függvények deriválási szabálya (kívülről befelé haladva)
Gradiens módszer: a hegymászó módszer ellentéte, vagyis egy lokális minimum keresése
Nettalk: bemenete ASCII karaktersorozat, kimenetei pedig fonémák. Jósága 80% körüli, amely kicsivel jobb, mint a szabály-alapúaké. 40-50 ezer szóval tanították be; a random zaj hozzáadását is jól viseli; ha egy része elromlik, az újratanulás gyorsabb, mintha elölről kezdené
Felügyelet nélküli tanítás: önszerveződés, Hebb szabállyal (ha két neuron aktív -egyetértenek-, a súlytényezőt növeljük, ha csak az egyik, csökkentjük)
Versengéses tanulás: winner takes all (a győztes neuronokra eső értékeket növeljük), ezzel lehet kiszedni egy mintából a lényeget úgy, hogy nem tudjuk, mi a lényeg


2-3. Robotok
A robotok célja
Adekvát reakciók (időben reagáljon bizonyos eseményekre)
Célszerű viselkedés
BEAM robotok
B -Biology (Biológiai mintára készített)
E -Electronics (elektronikusan működtetett)
A -Aesthetics (esztétikusan kivitelezett)
M -Mechanics (mechanikák)
Robot vagy automata?
Mi a különbség automaták és robotok közt?
A véges automata olyan logikai hálózat, amely adott bementre adott kimenetet ad (programozható). Ha több bites a visszacsatolás, többféleképpen tud reagálni.
|
|
Automaták |
Robotok |
|
Programozhatóság |
|
|
|
Érzékelők |
|
|
|
Írható/olvashat 121h71b ó memória |
|
|
|
Adaptációs képesség |
|
|
|
Tanulási képesség |
|
|
A Robotok felhasználása
Katasztrófaelhárító robotok: tűzoltó, Felderítő robotok (vegyi vagy sugár szennyezet területen)
Katonai Robotok (Akna felkutató, megsemmisítő robotok)
Űrkutatás, ipari felhasználás, stb.
Szenzorok
Alapvető feladatuk a környezeti információk fogadása és továbbítása a központi rendszer felé.
Típusai:
o A Passzív szenzorok a környezet fizikai jellemzőit érzékelik (hőmérséklet, nyomás, fény, hang)
o Az Aktív szenzorok működésük során maguk bocsátanak ki mérő jelet, mely visszaverődését érzékelik. (radarok, fényérzékelők, lézeres távolságmérők)
Az Intelligens szenzorok jellemzői
Önkalibráció
Öndiagnosztika
Dinamikus érzékenység
Programozhatóság, távvezérelhetőség
Részei: jeladó, jelformáló | digitalizáló, mikrokontroller (ehhez a paraméterek EEPROM-ban), illesztő (port)
Marskutatás
A Mars-Föld távolság 56-378 millió km között változik
A rádiójelek terjedési ideje 6-40 perc
A kommunikáció mikrohullám UHF segítségével történik
Marsjárművek
Pathfinder
o Tömeg:10.6 kilogramm (23 pounds)
o Tudományos felszerelés: Alfa Proton Röntgen spektrométer, három kamera
A Spirit tudományos felszerelése:
o Kamerák (Panoráma kamera, Mikroszkóp)
o Spektrométerek (Termo emissziós spektrométer(Mini-TES), Mössbauerspektrométer(MB), Alfa részecske röntgen spektrométer(APXS))
o Örlőkészülék, Mágnesek
Opportunity
Navigáció
A navigáció feladata, hogy a robot egy kijelölt célpozícióba jusson. A mozgás során több szempontot is figyelembe kell venni:
A robot mozgási lehetőségei
A mozgásra fordított energiaszükséglet
Idő
Robot mechanikai tulajdonságai
Terepviszonyok
A navigáció módjai
Előre ismert terepen
o Matematikai módszerekkel a legrövidebb utat találhatjuk meg
o Vagy kereshetjük a legbiztonságosabb utat (távol az akadályoktól)
Ismeretlen terepen (szenzorokkal): csak a közvetlen környezetéről szerez információkat, ezért jósága függ a szenzorok hatótávolságától. Amerre járt, azt megjegyezheti.
Szabályrendszer: Fontos az emlékezőképesség (elég csak az utolsó lépésre), különben beragad a robot egy zsákutcába
Akadályelkerülés és pályatervezés
szabályalapú algoritmus: egy esetleíró táblázat segítségével definiálhatjuk az egyes előállt helyzetekhez tartozó cselekvést.
módosított szabályalapú algoritmus
neurális-elvű algoritmus
tapasztalatszerzésen alapuló algoritmus
hullám-továbbterjesztéses algoritmus
módosított hullám-továbbterjesztéses algoritmus
GVD-elvű, gráfbejárásonalapuló algoritmus
A hullám és a GVD algoritmusok potenciálmezős megvalósítása
A hullámos megoldással egy monoton növekvő sorozatot, és a legrövidebb utat kapjuk
A GVD algoritmussal pedig egy monoton csökkenő sorozatot és a legbiztonságosabb utat
Azonos számok esetén meg kell adni egy preferenciát, amelyet tanulással kísérletezhetünk ki:
o Egy esethez hozzárendeljük az összes lehetséges elmozdulást, majd ezekhez fitness-értékeket
o Rendelkezik egy genetikai alaptudással, amit örökölt (megadtuk neki)
o Először a legmagasabb jóságú cselekvést hajtja végre
o Ha az eredmény megfelelő, növeljük az értéket (a tudás tárolása)
o Az egyenértékű cselekvésekből lehet véletlenszerűen generálni, akár rosszabb értékűek bevételével is (rulett-kerék)

4. Genetikus algoritmusok
Biológiai inspiráció
A genetikus programozás alapját Darwin evolúciós elmélete adja.
Fennáll egy populáció valahány egyeddel. Az egyedek egy része szaporodik, valahány utód tovább él, a többi pedig elpusztul. Az egyedek a generációk alatt átalakulnak, jó esetben fejlődnek.
Ha jól szabályozott a rendszer, akkor az újonnan létrejött populáció hosszú távon átlagosan jobb "minőségű" egyedeket fog tartalmazni, és létrejöhet olyan egyed, ami valamilyen szempontból ideális.
Amikor a kritériumfüggvény felületének lokális minimumai vannak, önmagában a gradiens módszerek nem alkalmazhatóak, mert "beragadnak" egy lokális minimumba
Zaj bevezetése lehetővé teszi a lokális minimumokból való kiszabadulást.
Az evolúciós algoritmusokat sztochasztikus szélsőérték-keresésnek nevezzük. Ezek biológiai analógiákra épülnek.
Az evolúciós algoritmusok négy fő csoportja:
A genetikus algoritmusokat akkor célszerű alkalmazni, ha
Az algoritmus mechanizmusai
o Mutáció nélkül a rendszer gyorsan leáll (a kombinációk száma véges)
o Alacsony mutáció esetében lassan jutunk eredményre.
o Magas mutáció esetében a rendszer "szétesik", nem ad eredményt.
o stratégiai paraméterek választása (induló egyedek (individuumok) száma, szelekciós eljárás kiválasztása stb.)
o a populáció kezdőértékeinek megadása
o az individuumok értékelése (fitnessszámolás)
o generációs ciklus:
Ø szülők választása, utódok generálása műveletekkel
Ø utódok értékelése (fitness-számítás)
Ø új populáció kiválasztása (különböző stratégiákkal)
Ø megállási feltétel (általában adott számú ismétlés, azaz generáció szám után, vagy adott jóság
Ø elérése után)
o eredmények közlése
Szelekciós eljárások
Fitness arányos szelekció rulett kerék mintavételezéssel: minden egyednek kijelölünk egy szeletet a rulettkerékből úgy, hogy a szelet mérete arányos legyen az egyed fitness értékével. A kereket megpörgetjük, és az az egyed lesz kiválasztva, amelyik felett megáll. A gond ezzel az eljárással, hogy ha az egyedek fitness értékei között nincs nagy különbség a populáción belül, akkor minden egyed közel azonos eséllyel lehet szülőnek választva.
Rang szerinti szelekció: A sorrend szerinti szelekció, éppúgy, mint a fitness arányos szelekció, a rulettkerékalapján választja ki az egyedeket. Itt a rulettkerék szelete egy egyednek a sorba rendezett populációban betöltött helye szerint határozódik meg. Így a leggyengébb egyed kap egy egységnyit, míg a legjobb ne gységnyit, ahol n a populáció nagysága.
Verseny szelekció: A verseny szelekcióhoz hasonlóan a szelekciós nyomást tekintve, de sokkal hatékonyabban számítható. Két egyedet kiválasztunk véletlenszerűen a populációból. Egy véletlen számot generálunk 0 és 1 között. Ha r < k (ahol kegy paraméter, például 0,75), akkor a jobb egyedet választjuk. Egyébként a gyengébb egyed kerül kiválasztásra.
Legjobb szelekció: Ennél az eljárásnál egyszerűen a populáció legjobb egyedét választjuk.
Véletlen szelekció: Ennél az eljárásnál véletlenszerűen választunk ki egy egyedet.
Interaktív szelekció: például grafikai elemeket lehet kifejleszteni, ahol az alkalmas fitness-függvényt nem tudjuk megalkotni. A program felhasználója tud választani az egyedek közül.
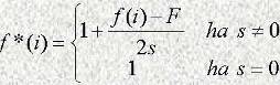
Szigma scaling: Itt a rulettkerék szelete az egyed fitness értékének, a
populáció átlagának és szórásának függvényében rendelődik az egyedekhez. A
módosított fitness értékeket az alábbiak szerint számítjuk ki:
Ahol f*(i) az i egyed módosított fitness értéke, f(i) az i egyedhez tartozó eredeti fitness érték, F a populáció átlag fitness-értéke és s a populáció fitness értékeinek a szórása. (áttoljuk egy szűrőn az értékeket)
Boltzmann-szelekció: A szigma scaling a "szelekciós nyomást" a folyamat alatt egy konstans érték körül tartja. Néha szükségünk lehet rá, hogy a szelekció jobban kihangsúlyozza a magasabb fitnessétékű egyedeket.
Ahol f*(i) az i egyed módosított fitnessértéke, f(i) az i egyedhez
tartozó eredeti fitnessérték, a <.> az aktuális populáció középértékét
jelöli és T egy hőmérséklet, mely egyenletesen csökken a folyamat során.
Alacsonyabb T értékek mellett nő a különbség az f*(i)-ben az alacsony és magas
fitness-értékek között.

5-6. GPS
A helymeghatározás célja
Térképezés
o pontosabb, részletesebb térképek készítése,
o a hagyományos térképek pontosítása
földmérés
navigáció (hajózás, repülés, túrázás, gépkocsi)
A GPS rendszer célja
A helymeghatározás
o Gyorsítása, pontosítása, egyszerűsítése
o időjárási viszonyoktól függetlenné tétele
eredetileg katonai célra
A helymeghatározás hagyományos módszerei: iránytű, szextáns (speciális szögmérő), térkép, óra, világítótorony (egy piros körbeforog, s amikor északra mutat, egy fehér felvillan).
Új módszerek: VOR, DME (rádiófrekvenciás), ILS (leszálláshoz: egy kereszt középen a pilótának)
GPS műholdak
Név: Navstar, Gyártó: Rockwell Int., Távolság: 20.000km, súly: 862kg, keringési idő: 12 óra, tervezett élettartam: 7,5 év
Földi állomások: Nyomon követik a GPS műholdakat, vizsgálják a működőképességüket és pontos pozíciójukat. A fő földi állomás felküldi a műholdra a pályaadat-korrekciókat, valamint az óra összeadó-állandóját. A műhold beépíti a GPS vevők felé sugárzott jelekbe ezeket az adatmódosításokat.
Az Öt földi követő állomás helye: Hawaii, Ascension Island, Diego Garcia, Kwajalein, Colorado Springs
A Holdak azonosítása egy pszedu-random jel segítségével van megoldva
A GPS mérés alapja
A GPS alapja a műholdas háromszögelés:
Geometriai alapok
Tegyük fel, hogy egy olyan műholdtól mérjük távolságunkat, mely 20.000 km-re van
Biztosak lehetünk, hogy valahol egy olyan gömbön helyezkedünk el, amely sugara 20.000km és középpontja a műhold.
Keressünk egy másik műholdat, amelytől a távolságunkat 21.000 km-nek mértük
Ekkor a helyzetünk most a két gömb áthatásán, egy körön található.
Ha most egy harmadik műholdtól is megmérjük a távolságunkat, és az 22.000 km-re adódik, akkor belátható, hogy három gömb áthatásába kerültünk, melyben az egyik műholdtól 20.000, a másodiktól 21.000, a harmadiktól 22.000 km-re vagyunk. Két pont valamelyikén találjuk magunkat.
Így három műhold távolsága alapján eljutottunk tartózkodási helyünk két legvalószínűbb pontjához. Annak eldöntése, hogy a két pont közül melyiken is állunk, egy negyedik műholdra való mérés feladata. Sok esetben negyedik mérés nélkül is eldönthető a kérdés.

Távolságmérés
A működés alapfeltétele, hogy:
o a műholdak és a vevő órája rendkívül pontos (a műholdakon atomóra van)
o a vevő órája szinkronban van a műholdak órájával
A GPS esetében olyan rádiójelet mérünk mely sebessége kereken 300.000. A probléma a futási idő mérése.
Szinkronizáljuk óráinkat
Az időmérés során az első probléma az, hogy a mérendő idő rendkívül rövid. Ha a műhold éppen a fejünk felett van, a futási idő nem több, mint 0,06 másodperc. Ezért nagyon pontos órára lenne szükségünk.
Tegyük fel, hogy van ilyen pontos óránk, hogyan mérjük a futási időt? Ennek magyarázatára álljon itt a következő hasonlat:
o Tegyük fel, hogy a műholdon is, a vevőn is pontosan délben elkezdjük lejátszani a harangszót. Ha a vevőnél állunk, és a hang elér minket a műholdról is, két verziót hallunk, egyet a műholdról, egyet a vevőtől. A kettő nincs szinkronban. A műholdról érkező változat egy kicsit késik, mivel meg kellett tennie több mint 20.000 km-t.
Ha a késleltetés mértékét meg akarjuk határozni, kapcsoljuk a vevőt olyan késleltetett üzemmódba, amikor a két hang szinkronba kerül. A késleltetés mértéke megegyezik a műholdról érkező jel futási idejével. Most már csak meg kell szorozni a terjedési sebességgel ezt az időt, és megkaptuk a műhold távolságát. Ez az alapja a GPS működésének.
A déli harangszó helyett a műhold és a vevő mást használ, az ál-véletlen kódot (pseudo-random code).
A legfontosabb GPS jelek
Vivőhullám
A GPS műholdak két különböző vivőfrekvencián közvetítenek jeleket.
Az L1 vivőhullám 1575.42 Mhz-esés viszi a helyzeti üzeneteket és az ál-véletlen kódot az időmeghatározáshoz.
Az L2 vivőhullám 1227.60 Mhz-es, és a sokkal pontosabb katonai ál-véletlen kódot használja.
Az ál-véletlen kódok
Az ál-véletlen kódok két típusát alkalmazzuk. Az első a durván nyert kód (C/A Coarse Acquisition), amely a vivőhullámot modulálja. 1023 bitenként ismétlődik. Minden műholdnak saját ál-véletlen kódja van, így a kibocsátó műholdak egyértelműen azonosíthatók. A C/A kód a polgári GPS alapja.
A második ál-véletlen kód a P (precise) kód. Ez a kód 266,4 naponként ismétli önmagát. A műholdak azonosítását az teszi lehetővé, hogy minden esetben egyedi a kód.
A P kód egy-egy hétnapos darabját rendelték hozzá minden egyes műholdhoz. A kód generálása minden vasárnap éjfélkor, a GPS-hét kezdetekor újra indul. Ez a kód modulálja mindkét vivőfrekvenciát, L1-et és L2-t egyaránt. Ezt a kódot a katonai felhasználóknak szánták, ezért titkosítják. A P kód titkosított változatát hívjuk Y kódnak. Amióta a P kód sokkal bonyolultabb, mint a C/A, ezt a vevők sokkal nehezebben érik el. A katonai vevők is először a C/A kódot érik el, utána ugranak a P kódra.
A komplex eljárás segít abban, hogy a vevő mérés közben nehogy más műhold jelére szinkronizálódjék. Nagyon ritkán előforduló véletlen kell ahhoz, hogy egy másik jel is éppen ugyanabban a fázisban ugyanolyan formát mutasson
Amióta minden GPS műholdnak saját ál-véletlen kódja van, ez a módszer garantálja, nehogy a vevő véletlenszerűen ráálljon egy másik műhold jelére. Így az összes műhold használhatja ugyanazt a frekvenciát annak veszélye nélkül, hogy egymás adását zavarnák.
Titkosított GPS
a rendszer elsősorban katonai elsőbbséget élvez
a katonák fenntartják maguknak a különleges bemenetet a sokkal pontosabb P kódra. Ennek frekvenciája a polgári C/A kód frekvenciájának 10-szerese (tehát potenciálisan ennyiszer pontosabb), és sokkal ellenállóbb a zavarokkal szemben. Ha titkosították, a neve Y kód, és csak katonai vevők tudják fogni a megfelelő kulcs ismeretében.
a kódok lehetővé teszik a GPS jelek erősítését.
Időmérés, óraszinkronizálás
Az órahiba kiejtése
Egy plusz műhold távolságának mérése segítségével a GPS vevő ki tudja ejteni az órahiba döntő hányadát.
Természetesen a GPS háromdimenziós rendszer, de az ötlet két dimenzióban is jól bemutatható. A harmadik dimenzióhoz eggyel több mérést kell végezni.
Egy műhold méréséről beszélünk távolsági értelemben, tudván, hogy ez idő alapján számítható, tehát beszélhetünk nyugodtan időmérésről is.

X-ben állunk ténylegesen (ezt mutatná a vevőnk is, ha az órája pontos lenne), de az óra késik 1 másodpercet a világidőhöz képest.
Ezért a vevő az A műholdtól 5 másodpercet mér 4 helyett, a B műholdtól pedig 7 másodpercet 6 helyett. A két kör metszéspontja tehát más, XX helyzetbe került.
Így az X és XX helyek közötti eltérés a pontatlan óránknak köszönhető
Ez az a pont, ahol egy geometriai trükkel segíthetünk
Végezzünk mérést egy harmadik műholdra is. Először nézzük meg a hibátlan helyzetet:
Minden mérés köríve áthalad X-en, ami helyen helyzetünkön. Sajnos az 1 másodperces órahibánk újabb helymeghatározási problémákat jelent:
A vastag vonallal húzott körívek mutatják az ál-mérés esetét, amit az órahiba okoz. Ez az "ál" (pszeudo) kifejezés a GPS-ben azt jelenti, hogy a mérést hiba terheli.

Pszeudo-mérés
A pszeudo-mérés ízt jelenti, hogy a mérés még nem teljesen redukált órahibával, stb.
Amíg az A és B műhold pszeudo-távolságai egy pontot metszenek ki, addig a C pszeudo-távolsága nem tud átmenni ezen a ponton. Ez a különbség a vevők számítógépeinek köszönhető, mivel ott az órahiba.
Mivel az órahiba vagy összeadó-állandó minden mérést befolyásol, a számítógép olyan egyszerű korrekciót keres, mellyel eléri, hogy az összes mérési eredmény egy pontot metsszen ki.
Egy ilyen korrekció meghatározza azt is, hogy a vevő ezután minden mérésre ezt a korrekciót alkalmazza.
Ettől kezdve az óra szinkronban lesz a világidővel. Ezt a korrekciós eljárást állandóan ismételni kell
A műholdak pontos pályaadatai 1
Hogyan tudjuk meg pontosan, hogy hol vannak? (mintegy 20.000 km magasan repülnek az űrben)
A nagy magasság előnyös, mert nem zavarja az atmoszféra. Az orbitális pálya elemei is lényegesen könnyebben számíthatók.
A légierő minden GPS műholdnak nagyon pontos pályát tűzött ki, kapcsolódva a GPS vezértervhez.
GPS vezérterv
1994. márciusban a 24. BlockII. műhold pályára állításával teljessé vált a GPS műholdak rendszere. Négy további műhold készenlétben áll, hogy szükség esetén fel lehessen bocsátani.
Egymáshoz viszonyított helyzetük olyan, hogy a föld bármely pontjáról mindig öt műhold egyszerre látható legyen.
Minden vevőkészülékbe be van programozva egy almanach, amely pillanatról-pillanatra megmondja, melyik műhold éppen hol tartózkodik az űrben
A műholdak pontos pályaadatai 2
A folyamatos figyelés pontosítja ezen értékeket
Ezeken nagyon precíz radarberendezések vizsgálják minden műhold pontos amplitúdóját, helyzetét, sebességét.
Ezek a vizsgált hibák a pályahibák. Ezek a pályahibák a Hold és a Nap gravitációs hatásváltozásából, valamint a napszél műholdra ható nyomásából erednek.
Ezek a hibák elég kicsik, de ha nagy pontosságot szeretnénk elérni, számolni kell velük.
Felküldik az információt a műholdra. Ezután az időjelben megjelennek a pozícióra vonatkozó információk is.
Így egy GPS jel több, mint egy ál-véletlen kód: navigációs üzenetet is tartalmaz pályahiba információkkal.
Felhasználótól független hibák
Az ionoszféra az atmoszféra jelentős rétege, a Föld légkörének 50-500km-ig terjedő része
Nagyrészt ionizált részecskékből áll, melyek a GPS jelre zavaró hatást fejtenek ki. A változó elektrontartalom miatt a rádióhullámoknak az optikában használatos törését okozza.
Mivel a hibák nagyobb része az ionoszférában keletkezik, jó lenne matematikai modellekkel eltávolítani ezeket
A troposzféra a föld légkörének alsó mintegy 51 km-es vékonyabb rétege, elektromosan semleges, telített vízgőzzel, hőmérséklete és légnyomása változó.
Viszonylag kisebb hibát okoz.
Vannak egyszerűbb útjai a hibák minimumra csökkentésének. Meg tudjuk jósolni, milyen tipikus hiba jelentkezik egy tipikus napon. Ezt modellezésnek hívjuk, és sokat segít, bár a légkori feltételek ritkán egyértelműen tipikusak
A Hibák modellezése
A jel útjának késleltetése az atmoszférán keresztül többnyire jósolható.
Az atmoszféra matematikai modelljei számolnak a töltött részecskék hatásával, és a troposzféra gáznemű összetevőivel egyaránt. Mindezek alapján műhold folyamatosan továbbítja az ionoszférikus modell tényleges összetevőit.
A GPS vevőnek figyelembe kell venni, hogy a jel milyen szög alatt lépett be az atmoszférába, mert a belépési szög meghatározza a zavaró közegben megtett út hosszát.
Másrészt az atmoszféra okozta hibák kezelésének lehetőségét biztosítja két jel sebességének összehasonlítása. A kétfrekvenciás mérés azonban csak fejlettebb készülékeken lehetséges.
Kétfrekvenciás mérés
Ha egy fény áthalad egy közegen, az alacsony frekvenciájú jelek megtörnek, vagy jobban lassulnak mint a magasabb frekvenciájúak.
A jelek sebességének csökkenése lehetőséget ad arra, hogy a GPS jelek két különböző vivőfrekvenciáját: L1-et, és L2-őt összehasonlítsuk, következtessünk arra, milyen a közeg (atmoszféra), és javításokat tudunk számítani.
Mivel a katonai vevők tudnak vivőfrekvencián mérni, a polgáriak nem, némi csalásokat kell a stratégiában alkalmazni.
Terjedési hibák a föld felszínén
A GPS jelek számára a zavaró hatások nem szűnnek meg, miután elérték a Föld felszínét. A jel visszaverődhet különböző akadályokon, mielőtt a vevőhöz érne. (többutas terjedésnek)
A többutas terjedés
A GPS alapkoncepciója feltételezi, hogy a jel a műholdtól a vevőig egyenes vonal mentén terjed.
Azonban ez nem teljesen igaz: jel mindenféléről visszaverődik a környezetünkben, majd ugyanúgy a vevőre jut, mint egy egyenesen érkező jel.
Eredményül többféle jel érkezik a vevőre: először a közvetlen, később a környezeti tárgyakról visszaverődött.
Ha a környezetből visszaverődött jelek még elég erősek, megtévesztheti a vevőt, és hibás mérést okoz.
Vannak olyan vevők, amelyek ki tudják választani azt a jelet, amelyik korábban érkezett (amelyik a közvetlen).
Pályahibák
A pályaadatokat folyamatosan közvetítik a műholdak
A vevőkben egy almanach van, mely az összes műhold pályaadatát tartalmazza, és új adat érkezésekor módosul
A tipikus pályahibákat óránként javítják
Az alapvető geometria képes megsokszorozni a hibákat. Ennek neve a pontosság geometriai felhígulása (Geometric Dilution of Precision = GDOP)
További felhasználótól független hibák
Általában több műholdra van szükség a helymeghatározáshoz. A vevő automatikusan kiválaszt néhányat, a többit elutasítja.
Ha a vevő egymáshoz közeli műholdakat választ ki, a metszőkörök nagyon lapos szögben metszik egymást. Ez azt jelenti, hogy az ábrán a sötét zónában bárhol lehetünk.
Ha a vevő egymástól távoli műholdakat választ ki, a körök jól metszik egymást; derékszögű metszésnél a legkisebb a hibaterület.
A jó vevők a kiválasztásnál "gondolnak" a GDOP hibára is.
Szándékos zavarás (SA)
Az elvet "Szelektív hozzáférés"-nek (SA = Selective Availability) nevezzük, és azért vezették be, nehogy ellenséges erők használhassák a GPS-t.
Szelektív hozzáférés
Alapvetően a Nemzetvédelmi Minisztérium egy bizonyos algoritmus szerint "elrontja" a műholdak idő-és pályainformációit. Ez az egyetlen vevővel dolgozó felhasználókat érinti hátrányosan, mivel a pálya-és időhiba pozícióhibaként jelenik meg.
Ezek az összetevők együttesen a SA-t a legnagyobb hibaforrássá teszik a rendszerben. A katonai vevők rendelkeznek egy dekóderrel, amely eltünteti a SA hibát, így ők sokkal pontosabb eredményt kapnak.
Szerencsére ezek a pontatlanságok nem adódnak össze többszörösen hibaként.
2000-ben megszüntették a GPS pontosságának mesterséges rontását.
A hibaforrások által keletkező pontatlanságok mértéke
|
A hiba jellege méterben |
(műholdanként) szabályos GPS |
Differenciális GPS |
|
Műhold óra |
|
|
|
Pályahiba |
|
|
|
Ionoszféra |
|
|
|
Troposzféra |
|
|
|
Vevő zaj |
|
|
|
Többutasterjedés |
|
|
|
SA |
|
|
Európai és Orosz rendszerek
GLONASS (GLObal NAvigation Satellite System)
EGNOS (European Geostationary Navigation Overlay Service)
Adatok feldolgozása
A GPS adatait különféle programokkal fel lehet (kell dolgozni)
o térképi adatbázis létrehozása,
o rögzített útvonalak térképhez illesztése
o illesztési hibák, túlnyúlások, hézagok, kettőzések javítása
DGPS (Differenciál GPS)
Egy rögzített GPS a viszonyítási alap, amelynek helyzetét nagyon pontosan ismerni kell
Így a rögzített GPS-hez képest egy másik GPS pozíciója centiméterre pontosan meghatározható
Két GPS-szel kiszűrhető az SA, mert a két mintában a hiba ugyanaz, szűrhető
7. Döntéstámogatás
Szakértői rendszer: olyan embert próbál helyettesíteni, aki az adott szakterületen kimagasló tudással rendelkezik.
Döntéstámogató rendszer: Nem az ember helyettesítése a célja, hanem a döntéshozatal megkönnyítése. (az emberi döntési modellt alig ismerjük)
Az emberi információ-feldolgozás jellemzői
Intuitív, analógiákra épülő feldolgozás.
A döntések irányelvei, perspektívái és szabályai többnyire azonosíthatók.
Az emberek ritkán koncentrálnak csupán egy problémára. Inkább különböző problémákat párhuzamosan kezelnek.
Az emberi teljesítmény csökkenhet, ha egymással összefüggő feladatokat kell különböző logikai szinten, párhuzamosan kidolgozni.
Az emberek csak korlátozottan képesek logikailag ellentmondásos, vagy statisztikai információkat kezelni.
Az emberi agy sokszor nem jön rá, hogy miért nem tud dönteni
Döntési típusok
Mindennapi cselekvésekkel kapcsolatos döntések.
Vezérléssel kapcsolatos döntések. A cselekvés hatékonyságának biztosítása céljából.
Menedzseri döntések. Az erőforrások hatékony felhasználásának biztosítása céljából.
Stratégiai döntések. A magasabb célok és irányelvek alapján az erőforrások elosztásának biztosítása céljából.
A döntéstámogatói rendszerek feladata
KFKI Csoport Magyarország:
a szükséges információk az üzleti tevékenység minden részletéről átfogóan és időben rendelkezésre álljanak.
A vezetői döntéstámogató rendszerek feladata, hogy a rendelkezésre álló nagy mennyiségű adathalmazból ezeket az információkat szolgáltassa a döntéshozóknak.
A cégek számára felmérhetetlen értékű információhalmazról van szó, hiszen ezek az adatok a szervezet múltját, tapasztalatát tartalmazzák.
A döntéstámogató rendszerek főbb részei
Adatbázis menedzsment rendszer (Data-base management system, DBMS)
Modellbázis menedzsment rendszer (Model-base management system, MBMS)
Dialógus előállító és menedzsment rendszer (Dialog generation and management system, DGMS)
A felhasznált információkat befolyásoló legfontosabb tényezők
A megszerezhető információk pontossága
A részletesség szükséges szintje (Hiányos adatokból csak pontatlan következtetés vonható le (közvélemény-kutatás), ezért meg kell adni a szórást is)
Az információ érvényességi időtartama
Az információ forrása, megbízhatósága
A felhasználás gyakorisága (ha sokszor, a hiba súlya megnő)
Az információ naprakészsége
Tudásrendezési funkciók
Szabály alapú következtetés (Deduktív): A tulajdonságokat alárendelhetjük egymásnak, bármelyiknek kijelölhetjük, hogy melyik másik tulajdonságtól függjön. A gráf csomópontjai képviselik a függő tulajdonságokat, ezek az alulról bekötött tulajdonságoktól függenek.
Eset alapú következtetés (Induktív): Ha néhány tucat eset tulajdonságainak java része ismert, akkor kijelölhetünk egyet, amit minősítésnek tartunk. Feltehetjük a kérdést: hogyan lehet erre a többi tulajdonságból következtetni? Egy entrópia számításon alapuló algoritmus kiválogatja a leginformatívabb tulajdonságokat, és egy olyan gráfba szervezi, ami épp a választ adja.
Példa a szabály alapú következtetésre
Az ABC KFT. ügyviteli rendszere korszerűsítését tűzte ki célul. A bevezetni kívánt szoftver kiválasztásához döntéstámogató rendszert hívtak segítségül.
A szoftverek kiválasztásának szempontjai az alábbiak voltak: Beruházás, Finanszírozás, Vételi ár, Szolgáltatás, Adatfeltöltés, Support
A feladat megoldásának lépései:
Tulajdonságok és lehetséges értékeiknek begyűjtése
Tulajdonságok egymás alá rendelése
Szabályok megadása
Esetek begyűjtése
Szabály alapú következtetés
(Elemzés)
A gráf megrajzolásával a tulajdonságok függési viszonyait adjuk meg. Minden csomópont az ő belé alulról bekötött csomópontoktól (faktortulajdonságoktól) függ. A következtetés tehát mintegy felfelé terjed a gráfon. A gráf csúcsa a végkövetkeztetés.
Szabályok
Egy szabály arra szolgál, hogy megmondja, mi lesz egy függő tulajdonság értéke, a bemeneti tulajdonságainak (faktorok) adott értékkombinációjára. A szabályok értelmezési tartománya tehát a tulajdonságok értékkészletének összes lehetséges összepárosítása(permutációja).
Az olyan szabályokat, amik a tulajdonságok egyetlen értékkombinációjára érvényesek, elemi szabályoknak nevezzük.
Egy szabály érvényességi tartománya azonban kiterjedtebb is lehet, amennyiben valamely faktor több egymás melletti értékére is vonatkozik. Az ilyen szabályokat komplex szabályoknak nevezzük. Úgy is tekinthetjük, hogy szomszédos elemi szabályokat vontunk össze benne.
Minden szabályhoz tartozik ezenkívül egy kimeneti érték, ami a következtetés során a tulajdonság értéke lesz, amennyiben a faktorok tényleges értékei a szabály érvényességi tartományába esnek.
Példa eset alapú következtetésre
Az ABC KFT. külföldi vendégeit üzleti vacsorára hívta meg. Az éttermek ajánlását döntéstámogató rendszerben modellezték. A éttermek ajánlásakor az alábbi szempontokat vizsgálták: Ételválaszték, Kiszolgálás, Tisztaság, Ár, Adag nagysága, Ízletesség
Fogalmak
Bemeneti tulajdonság (input attribute): Független, megadandó tulajdonság, a függő tulajdonság ellentéte.
Érték (value): Tulajdonság értékkészletének egy eleme, vagyis egy kategóriája. Esetek tulajdonságának konkrét besorolásaként, vagy szabályok kimeneteként jelenik meg.
Értelmezési tartomány (domain): Faktorok értékeinek összes lehetséges összepárosítása (permutációja). Szemléltethető k dimenziós tér pontjaival is, ahol k a faktorok száma.
Érvényességi tartomány (valid range): Szabályhoz rendelt tartomány, amire az vonatkozik.
Faktor (factor): Függő tulajdonságot befolyásoló tulajdonság. A «Deductive graph»-on a csomópontba alulról bekötött tulajdonság. A ~a B-nek azt jelenti, hogy B függ A-tól.
Függő tulajdonság (dependant attribute): Tulajdonság, amelyik egy másiktól függ. A függést szabályok írják le.
Informativitás (informativity): Tulajdonság jelzőszáma esetek halmazára vonatkozóanKeretrendszer (shell): Program, ami a tudásbázist tárolja és feldolgozza.
Kimeneti érték (output value): Szabály értéke a következtetés során. Ezt az értéket veszi fel a függő tulajdonság, ha a faktorok értékkombinációja a szabály tartományába esik.
Következtetés (reasoning): Szabályok a faktorok értékeiből a tulajdonság értékének meghatározására.
Minősítő tulajdonság (benchmark): Kijelölhető tulajdonság, amire a modell következtet.
Modell (model): A minősítő tulajdonság más tulajdonságokból történő megállapítását leíró gráf
Szabály (rule): "Ha,.akkor" szabály. érvényességi tartományból, és a hozzá tartozó kimeneti értékből áll.
Teljes szabály (complete rule): Érvényességi tartománya a teljes értelmezési tartomány.
Tartomány (range): A szabály értelmezési tartományának a faktorok értékeinek intervallumaival leírt részhalmaza. Szemléltethető egy k dimenziós téglatesttel.
Tudásbázis (knowledgebase): Esetek, azok tulajdonságai, valamint azok értékei, relációi és szabályai.
Tulajdonság (attribute): Esetek értékelési szempontja. Bármi, amivel kapcsolatban elvárások szóba jöhetnek
Találat: 2306