| kategória | ||||||||||
|
|
||||||||||
|
|
||
A kép és a képfeldolgozó, mint fizikai valóság
A hardver
Az emberi szem:
sclera: stabil alaktartás
choroid: vérellátás
ciliary body: lencse szabályozása
cornea: fénytörésért felelős
lens: közeli éles látás
a szemgolyó és
a cornea mögötti
rész folyadékkal telített.
iris: közepe a pupilla, apertura
iris: minél kevesebb pigment -> kék szem
retina:
rod (pálcikák)
cone (csapok)
fovea
optic nerve 838h75i
"Pinhole" kamera modell
legegyszerűbb kamera modell
perspektivikus projekció
Omni vision

Panoráma képek
Csapok és pálcikák
vakfolt
optikai kivezetés
800.000 idegszál
scotopic vision:
alacsony fény
pálcikák (100-120 millió)
photopic vision:
erős fény
csapok (7 millió)
Pálcikák
három fő típus
a kék
érzékelők relatív
érzékenysége alacsonyabb
jelentős átlapolódás
A retina szerkezete
Receptív mező, előfeldolgozás
receptív mező: adott ganglionhoz tartozó fotoreceptorok
egyenletes stimuláció a receptív mezőn: gyenge válasz
receptív mező közepe: erősítés
körkörösen: gátlás
X/Y ganglionok: hosszantartó reakció az időben / erős tranziens
on-center/off-center sejtek: fény növekedésére vagy csökkenésére
növekszik a sejt intenzitása
Éles látás
max. felbontóképesség:
hyperacuity:
Fényérzékelés és adaptáció
lencserendszer
receptorok
neurális feldolgozás
Kontraszt érzékenység
a szem
nem-linárisan reagál
az intenzitásváltozásra
∆l: éppen érzékelhető kontraszt
Speciális kontraszt effektusok
match band
effect: homogén sáv
nem tűnik homogének
szimultán kontraszt: a középső
négyzetek intenzitása azonos
White's illusion Kontraszt érzékenység
Kontraszt érzékenység adaptációja
Látási rendellenességek
monochromats: nincs, vagy csak egyféle pálcika
dichromats: kétféle pálcika
Kép mint folytonos 2D függvény
C(x,y,t,λ):
képforrás sugárzó
energiájának eloszlása
Különbségi operátorok
Kép-reprezentáció
pixelek
MxN pixel - MxN mátrix - x,y tengelyek
szomszédságok (4, 8)
távolságok - Euklideszi:
volume element: voxel
Hisztogramok
kép színeinek statisztikája
információ a
kép minőségéről, láthatóságáról, színtartalmáról
(keskeny: kis kontraszt, két púp: előtér/háttér, stb.)
belőle is lehet alapvető mérőszámokat származtatni:
átlag:
szórás:
entrópia:
Hisztogram-transzformációk
széthúzás
(stretching)
Look-Up Table (LUT) generálás:
lineáris:
o négyzetes (sötétít)
o gyökös (világosít)
nem-lineáris
hisztogram-kiegyenlítés
(equalize):
o nem-adaptív
o adaptív
o
célja: a
kontraszt
növelése
Fourier transzformáció
Operátorok:
lineáris - deriválás
skálázás - 2. derivált
konvolúció - 2D FT
parzevál egyenlőség - operátorok az FT tulajdonságai
autokorrelációs tulajdonság - pixelek, voxelek, Jahne
derivált - hisztogram, hisztogram-transzformációk
Képalkotás
Kvantitatív
vizualizáció
sugárzás: elektromágneses
vagy akusztikus
Fő kérdések:
Sugárzás típusai
elektromágneses
részecske sugárzás
akusztikus
Mindhárom hullámformában terjed, alapvető tulajdonsága a hullámhossz, ami meghatározza, hogy mekkora objektumokat tudunk mérni.

Elektromágneses sugárzás
C = 3x108 ms-1
C = λ . ν (hullámhossz [Hz] x frekvencia [1/s])
egymásra és a haladás irányára merőleges elektromos és mágneses mező váltakozása
Elektromágneses sugárzás kölcsönhatásai
töltéssel, árammal, mágneses és elektromos mezővel
refrakciós index: η = n + i Χ
n: sebesség csillapítás (c/u)
X: amplitúdó csillapítás
a refrakciós index függ az elektromágneses hullám frekvenciájától (hullámhosszától)
hullám sebessége függ a hullámhossztól à diszperzió
Vegyi anyagok optikai analízise
refrakciós index: η = n + i Χ
n: sebesség csillapítás (c/u)
amplitúdó csillapítás
Elektromágneses sugárzás
linearitás: komplex hullámok lebonthatók síkbeli harmonikus hullámokra; két hullám szuperpozíciója is em. hullám lesz
nemlineáris jelenségek: pl. nagyon erősen koncentrált fény: lézer
polarizáció: általában az EM hullámok nem polarizáltak
koherencia: ha a fázisuk közt véletlenszerű kapcsolat van, akkor inkoherens a két sugár, ellenkező esetben koherensek a sugarak
koherens sugarak kioltják egymást a 180o-os fáziseltolásoknál
a természetben előforduló fény inkoherens, a lézer koherens
Fotonok
EM sugárzásnak részecske tulajdonsága is van!
az EM energia egy kvantuma a foton
EM energia kvantált: E = h . ν (Planck állandó x frekvencia)
eV = foton mozgási energiája 1 Volt gyorsítás után
a foton számlálók 1 foton becsapódását is képesek érzékelni
Részecske sugárzás
mivel nyugalmi tömegük van, ezért a fénynél lassabban mozognak
fotonhoz hasonló terjedési tulajdonságok jellemzik: hullámszerű terjedés, E = h . ν
alfa (kétszeres pozitív töltés)
béta: elektron-sugárzás
proton
neutron
Elektron: 20keV à λ=10-11m, ami kisebb az atom átmérőjénél à elektron mikroszkóp
Hanghullámok
hordozóra van szükség
longitudinális hullámok
o ρ: sűrűség,
o ρ0: statikus sűrűség, A sebesség nem függ
o P: nyomás, u sebesség a frekvenciától!
levegő: 344 m/s
víz: 1485 m/s
vas: 5100 m/s
Ultrahang mikroszkópia: nagy frekvencia, μm hullámhossz.
Képalkotás
geometriai aspektusok 3D - 2D projekció, 3D képalkotás
radiometria a képen reprezentált világosság hogyan függ az objektum optikai tulajdonságaitól, a mérési módszertől?
mintavétel, digitalizálás

Koordináta rendszerek

Ideális kamera modellek
"Pinhole" kamera:
perspektívikus projekció

Képpontok mozgása
a kamera képén

Röntgen
képalkotás

Homogén
koordináták

Valós
képalkotás
Valós
képalkotás
axiális nagyítás: ma
laterális nagyítás: ml

Elmosás (blur)
Hibás képtávolságból (nem lencse hibából adódóan) - lásd fixfókuszos kamerák

Depth of Focus

F érték:
Elmosás sugara:
Elmosás
rossz tárgytávolságból
depth of field
Pl. CCD pixelméret: 10μm x 10μm
εmax = 5μm (megengedett, f = 15mm,
nf = 2, d = 1.5m, ΔX=0.2m (depth of field))
Mikroszkópia: ml = 50, nf = 2,
ΔX = 0.2μm
Telecentrikus képalkotás
nagyméretű optikát igényel
(tárggyal összemérhető)
Lencsehibák
szférikus aberráció
kóma
asztigmatizmus: különböző síkok mentén más a nagyítás, kör alakú tárgy képe oválisnak képződik le
párna és hordótorzítás
képmezőgörbület: sík tárgyat görbült felületen képez le az optika
Szférikus aberráció

Kóma



Kromatikus
aberráció

F 2.0 F 8.0


PSF
(Point Spread Function)
OTF (Optical Transfer Function)
A PSF Fourier transzformáltja

Diffraction-limited optical systems
ha az optikai hibákat mind kiküszöböljük, akkor is tapasztalható elmosódás a képen
az elmosódás összemérhető a hullámhosszal
Frauenhofer diffrakció (elhajlás): modell síkhullám törésére aperturánál
Airy
disk
a középső pont az energia
83.9%-át képviseli
Rayleigh kritérium
(a középpont és az első
gyűrű távolsága):
3D-s képalkotás
depth imaging
volumetric imaging
fő jellemzőjük:
Módszerek
távolság háromszögelésből (geodézia, térképészet), structure from motion
távolság a visszaverődési idő függvényében
interferometria: a sugárzás amplitúdóján kívül a fázisát is mérik - erősítések, kioltások, kb. 10-9m felbontás
távolság több projekcióból: tomográfia
Éldetekció
Célja, főbb szempontok
változások detektálása
differencián alapul
többdimenziós képeken is.
az él erőssége is fontos!
konvolúcióval vagy Fourier térben szorzással számolható

Célja
képi információk, struktúra kinyerése
o sarkok, vonalak, határok
o alkalmazási területek
o szegmentálás
o karc-szűrés
o felismerések
Típusok
lépcső, rámpa, háztető, vonal
(step, ramp, roof, line)
SNR: magasság/zajszórás


Tulajdonságok
normális: vektor, ami merőleges az élre és a
legnagyobb intenzitásváltozás irányába mutat
irány: a vonal irányába mutató vektor
helyzet, középpont
erősség: intenzitásának aránya a környező kontraszttal
Főbb problémák
anizotróp detekció: a detekció nem működik minden irányban azonosan
az irányok becslése pontatlan

Tulajdonságok
![]()
gradiens vektor:
![]()
gradiens nagysága:

Hesse-mátrix:
Laplace operátor:
Zero Shift: az operátor pontos helyen kell, hogy detektáljon: szimmetrikus

konstans függvényen 0-t kell jeleznie:
Gradiens alapú detekció

a gradiens vektor
maximumát keressük:
![]()
magnitúdó:
![]()
gyors változat:


Laplace alapú detekció
Fourier térben:
Pixel tartományban:
2D esetben:

Példák
|
Bemenet |
Laplace |
|
Gradiens X |
Gradiens Y |
|
Magnitúdó |
|
Prewitt
és Sobel
átlagoló élszűrők:

Laplace és másodrendű Prewitt

LoG, DoG
Laplace of Gaussian
Derivative of Gaussian


Compass
max[D1,D2,D3.]
Kirsch - Compass

Éldetekció hibái
![]()
jó detekció valószínűsége:
![]()
hibás detekció valószínűsége:
döntési hiba:
![]()
t helyes megválasztása:


Összehasonlítás

Élek erősítése
él-erősítő maszkok

Wallis szűrő

Szűrések frekvencia tartományban
zajszűrések
o alul-áteresztő szűrés
él-kiemelések
o felül-áteresztő szűrés
2D-s transzformációk
Alkalmazási területek
tulajdonság kiemelés (pl. DC FT együttható)
tömörítés: együtthatók kvantálhatók, bizonyos együtthatók elhagyhatók
szűrés: dimenzió-csökkentés után kevesebb számítással elvégezhető
Unitér transzformációk
invertálható, lineáris transzformációk (U) véges dimenziós térben (V), ahol a kernel bizonyos ortogonális tulajdonsággal rendelkezik
ekvivalens állítások:
o
U unitér
o a belső szorzatot megtartja:
o UU*T = I
o U sorai ill. oszlopai ortonormált bázist alkotnak
Fontos
tulajdonságok:
norma tartó tulajdonság:
o f vektor formula, F mátrix formula transzformáció: f = A f
o inverz transzformáció: f = B f
o B = A-1 (A-1 = A*T)
o ha A = AT akkor A ortogonális
ha A szeparálható, akkor a transzformáció elvégezhető soronként, majd oszloponként:
o A = AC X AR (X külső szorzat)
o F = ACFATR , F = BCFBTR
Fontos transzformációk
Fourier
koszinusz, szinusz, Hartley
Hadamard, Haar, Slant
Karhunen-Loeve

Fourier
transzformáció

lineáris, skálázás, konvolúció ,Parzevál
egyenlőség,
autokorrelációs tulajdonság ,derivált


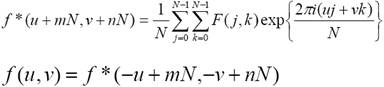
Diszkrét 2D Fourier transzformáció

a transzformáció:
j , k : térbeli koordináták
u , v : frekvencia koordináták
![]()
f(0,0) a kép átlagértékéről hordoz információt:

Fourier transzformáció
bázis függvény
Diszkrét 2D Fourier transzformáció
![]()
a transzformáció:
![]()
az inverz transzformáció:
![]()
szeparálható:
DFT: periodikus
amennyiben n és m egész:
![]()

következmény:
![]()
A Fourier spektrum periodikus, csakúgy mint a tér spektrum (mivel a transzformáció tekinthető egy Fourier sorba fejtésnek, ennek pedig a jel periodikussága a feltétele).
Konjugált szimmetria:
ahol m,n = 0, à tehát csaknem a spektrum fele redundáns

DFT vizualizációja
DFT-nek nagyobb a dinamikája,
mint magának a képnek
megjelenítés során a
transzformációs
együtthatókat szaturálni kell, vagy
logaritmikus függvényt használni
D(u,v) = log( a + b |f(u,v)| )
DFT összegzés
mivel komplex együtthatói vannak, így nehéz tömöríteni
elsősorban analízisre és digitális szűrésre használható
a Fourier transzformáció gyenge konvergenciája, a kép szélein lévő (a kép tartalmától természetesen függő) "ugrások" következménye
gyors algoritmus: FFT
PSF (Point Spread Function)
![]()

OTF (Optical Transfer Function)
a PSF Fourier transzformáltja

Hartley
transzformáció
hasonló tulajdonságai vannak,
mint a DFT-nek, de bizonyos
esetekben gyorsabban lehet
implementálni
Koszinusz transzformáció
a képet tükrözzük -½ , -½ pontok körül




nem egyszerűen a DFT szinuszos komponenseinek elhagyásával kapható, hanem a kép tükrözése alapján, annak Foruier transzformációja, egyszerűsítések és normálás után kapjuk
a tükrözés miatt nem reprezentál implicit magas frekvenciás ugrásokat a kép széleinél, emiatt nagyobb az energiatömörítési képessége, több együttható hagyható el kevés veszteség mellett
FFT-vel számolható
nagyon jó tömörítésre
Walsh-Hadamard
Hadamard mátrixokon alapul, aminek a sorai és oszlopai ortogonálisak
HHT = I
legkisebb ortonormált mátrix:
![]()
a Hadamard mátrixok rekurzív képzési szabálya:
bináris bázisfüggvények:
![]()
o
bázisképek a Hadamard
mátrix soraiból ill. oszlopaiból képezve
komplexitása: n * log n
egyszerű implementációja miatt kedvelt,
mivel nem szükséges szorzást számolni
a 1 értékek miatt
sequency: a mátrix soraiban történő
előjelváltozások száma osztva 2-vel
a mátrix sorai ún. Walsh
függvények
által generálhatók à Walsh-Hadamard
transzformáció
sequency tulajdonság: jelváltozások
száma soronként nő
H Hadamard transzformáció valós,
szimmetrikus, ortogonális: H = H* = HT = H-1
Haar transzformáció

különböző frekvenciájú mintavételnek felel meg à Wavelet transzformáció
Slant
transzformáció
fix bázisfüggvények
Slant bázisok
sequency tulajdonság
gyorsan számítható
jól tömörít
Példa
Karhunen-Loeve transzformáció (KLT)

K: a kép kovarianciája
A: sajátfüggvény
λ: sajátérték
optimális a kép energiájának tömörítése szempontjából
adaptív: függ a kép méretétől és tartalmától, a bázisfüggvényeket a kép kovarianciájából kell kiszámolni
bonyolult kiszámítani, nem lehet analitikusan explicit kiszámolni a bázisvektorokat, iteratív módszer használható.
EPE: Energy Packing Efficiency
ahol X-ek a transzformált együtthatók, M≤N (pl. N=8, M=4)
a) DCT
b)
KLT, (ρ=0.36 korrelációs együtthatójú,
First Order Markov Process-re optimalizált
KLT bázisfüggvényekkel számolva)
c)
DFT
Találat: 5717