|
| ||
|
||||||||||
BERUHÁZÁSOK ÉS BEFEKTETÉSEK GAZDASÁGTANA
A beruházás általános értelmezése: azt a döntési folyamatot, tevékenységet és az ennek eredményeképpen létrejött objektumot nevezzük beruházásnak, amely tökefelhasználással, tökelekötéssel jár, idöt igényel, állandóan de nem szükségszerüen ismétlödik, valamint egyértelmü hozamsorral jellemezhetö és tipizálható.
A beruházás, mint folyamat:
- 646g66g 646g66g A megvalósíthatósági tanulmány elkészítésével veszi kezdetét
- 646g66g 646g66g a beruházás idödimenziója: kivitelezési idö + használati idö
- 646g66g 646g66g müszaki élettartam: a müszaki szempontból elörejelezhetö élettartam
- 646g66g 646g66g futamidö: a gazdasági szempontból elörejelezhetö élettartam
- 646g66g 646g66g projektmenedzsment: a beruházás implementációjának eltervezése, végigkövetése, ellenörzése és adott esetben korrekciók eszközölése (ütemezés, Gantt-diagram, stb.)
Pontberuházás: azt a hipotetikus beruházást nevezzük pontberuházásnak, amelyröl feltételezzük, hogy nincs kivitelezési idöszükséglete.
A beruházás által generált pénzáramlásokat (hozamokat) pénzforgalmi és nem számviteli szemléletben értelmezzük. Jelölés: CFt
Maradványérték (Ln): A beruházás elörejelzett piaci értéke az n-ik év végén
A beruházások osztályozása:
Cél szerint: alap, bövítö, indukált
Származás szerint: belföldi - vagy idegen töke - beruházás (FDI, foreign direct investment)
Tárgya szerint: közvetlen müködötöke vagy portfólió befektetés
Az intertemporális allokáció
Az intertemporális allokációs probléma a jelenlegi fogyasztásról a jövöben remélt többletfogyasztás javára történö lemondás egyéni elemzése és megítélése
1. 646g66g Intertemporális allokáció tökepiac hiányában
Keret feltételek:
- 646g66g 646g66g nincs tökepiac, pénz és kamat
- 646g66g 646g66g
egy periódust elemzünk
Az elemzési keret a fogyasztás beosztása (allokálása) a jelen (C0) és a jövö (C1) között.
Az indifferencia görbék tulajdonságai
- 646g66g 646g66g nem érintik és nem is metszik egymást
- 646g66g 646g66g pozitívak
- 646g66g 646g66g konvexek
- 646g66g 646g66g negatív meredekségüek
Optimumpont: a szubjektív közömbösségi görbe (konvex) és az objektív fogyasztási lehetöségek görbéjének (konkáv) érintési pontja
A szubjektív idöpreferencia ráta (ip) a semlegességi görbéhez húzott érintö meredeksége az optimumpontban.
Az intertemporális allokáció megoldása:

Az idöpreferenciának megfelelöen egységnyi jelenbeni fogyasztás hasznosságát csak nagyobb mennyiségü jövöbeli fogyasztással érhejük el.
2. Intertemporális allokáció tökéletes tökepiacon
A tökéletes tökepiac feltételei:
v 646g66g tökéletes információellátás
v 646g66g homogén várakozások
v 646g66g súrlódásmentesség: adók és tranzakciós költségek hiánya
v 646g66g tökéletes oszthatóság és sokszorozhatóság
v 646g66g kompetitív piac: tökéletes verseny
Tökéletes tökepiacon:
|
IDŐPREFERENCIA = KAMATLÁB |
v 646g66g Fisher szeparáció: tökéletes tökepiacon a személyes idöpreferenciák a tökebefeketetési kritérium szempontjából érdektelenek, a jelenérték növelése az optimális kritérium, annak finanszírozásától függetlenül. Vagyis ilyen piacon a beruházási és finanszírozási döntések szétválaszthatók.
Az intertemporális allokáció megoldása:
![]()
tehát a szubjektív idöpreferencia helyére az objektív egységes kamatláb lép
II. TŐKEKÖLTSÉGVETÉSI MÓDSZEREK
1. A beruházás-gazdaságossági számítások kerete
A beruházás gazdaságossági döntési-módszertan (a tökeköltségvetés kérdésköre) tulajdonképpen speciális járadékszámításnak tekinthetö, ahol a járadéktagok szerepét a beruházási projektek pénzáramlásai veszik át.
A beruházási projektek pénzáramlásai:
- 646g66g 646g66g véges idötartamra (a futamidöre) nézve teljes bizonyossággal elöre jelezhetöek
- 646g66g 646g66g nem állandóak, hanem sztochasztikusan változnak
A gazdaságosság relatív kategória, amely a befektetett összegek megtérülési folyamatára összpontosít, azokat a mérhetö tényezöket keresi amelyek a töke megtérülési folyamatában részt vesznek.
A gazdaságossági elemzések idöpontja:
- 646g66g 646g66g a döntés megalapozásakor (ex ante)
- 646g66g 646g66g a kiválasztott alternatíva megvalósítása után mintegy az elözetes számítások ellenörzéseként (ex post)
A tökeköltségvetési döntések tipológiája
- 646g66g 646g66g kiválasztási - rangsorolási,
- 646g66g 646g66g idözítési (futamidö)
- 646g66g 646g66g programozási döntések
2. Kiválasztási - rangsorolási döntések
Kiválasztási döntésekröl akkor beszélünk, ha a felmerülö beruházási projektek egymást kizáró jellegüek a szük költségvetési korlát miatt vagy technológiai okokból kifolyólag.
Abszolút választási kritérium: amely esetén az egyedi projekt megítélése egymagában lehetséges (pl. NPV)
Relatív választási kritérium: amely esetén projekteket csak összehasonlítani lehet (pl. megtérülési idö)
2. 1. Statikus tökeköltségvetési döntések
Közös vonásuk, hogy nem veszik kellö súllyal figyelembe a pénz idöértékét, relatíve egyszerü módszertanuk miatt azonban népszerüek a gyakorlati döntéshozók körében. Jól használhatók elözetes projektszelekcióra, a tökeköltségvetési folyamatban olykor szükségesek, de nem elégségesek.
a) Statikus megtérülési idö
Az az idöszak, amely alatt a beruházási projektbe invesztált töke a beruházás pénzáramlásaiból megtérül, vagyis az az idöpont, amelyben a projekt nettó hozamösszege (kumulált hozama) elöször lesz nulla.
Relatív kritérium, azt a projektet preferálja, amelynek kisebb a megtérülési ideje.
Elönyök:
- 646g66g 646g66g rendkívül egyszerü
- 646g66g 646g66g könnyen értelmezhetö
Hátrányok:
- 646g66g 646g66g nem veszi figyelembe a pénz idöértékét
- 646g66g 646g66g nem veszi figyelembe a megtérülési idö utáni pénzáramokat
- 646g66g 646g66g a gyorsaságot preferálja a tökeértékkel szemben
- 646g66g 646g66g szük idökorlátok esetén elutasíthat pozitív NPV-vel rendelkezö projekteket
b) 646g66g költségösszehasonlító elemzés
Feltételek az összehasonlítandó projektekre:
- 646g66g 646g66g egymást kizáró jellegüek
- 646g66g 646g66g futamidejük hasonló
- 646g66g 646g66g a projektek által elöállított output megegyezik
- 646g66g 646g66g a projektek tágabb értelemben ugyanazt a pénzáramlást generálják
Relatív kritérium, azt a projektet preferálja, amelynek minimális az output egységre vetített (fajlagos) átlagos éves költsége
Jelölések:
- eves átlagos összköltség
- eves átlagos
üzemeltetési költség
- a beruházás bekerülési költsége (historikus költsége)
L - a beruházás maradványértéke
T - futamidö
Az éves átlagos költség meghatározása:

Fajlagos költség:
![]()
c) 646g66g jövedelmezöséget összehasonlító számítások
Jövedelmezöség: Nettó nyereség és a lekötött töke hányadosa, másképp a befektetés arányos megtérülés (Return on investment, ROI)
![]()
vagyis a beruházás által generált nettó profit (NP) és a beruházás historikus költségének (I0) aránya
Abszolút kritérium: azt a projektet preferáljuk, amelynek ROI értéke meghaladja a piaci kalkulatív kamatlábat
Relatív kritérium: a magasabb ROI val rendelkezö projektet preferáljuk
Elöny: a statikus módszerek közül a legjobban alkalmazható, megközelíti az IRR - t
Hátrány: sokszor nem egyértelmü, hogy a nettó profitot vagy a beruházás értéknövekményét vagy esetleg más mutatót használjunk-e a számlálóban?
2.2. Dinamikus tökeköltségvetési döntések
A dinamikus eléjárások figyelembe veszik a pénz idöértékét, egy közös vonatkoztatási (referencia) idöpontra vetítik a pénzáramokat és a beruházás historikus költségét is és így teszik összehasonlíthatóvá az egyes beruházási alternatívákat
Feltételek:
- 646g66g 646g66g a futamidö alatt a pénzáramok pontosan meghatározottak, ismertek
- 646g66g 646g66g kezdetben egységes kamatlábat (vízszintes hozamgörbét) feltételezünk.
A dinamikus tökeköltségvetési döntések tipológiája:
1. 646g66g Tökeérték módszerek
- 646g66g 646g66g jelenérték
- 646g66g 646g66g végérték
- 646g66g 646g66g dinamikus megtérülési idö
2. 646g66g kamatláb módszerek
- 646g66g 646g66g belsö megtérülési ráta
- 646g66g 646g66g kritikus kamatláb
Tökeérték: a beruházási projekt pénzáramlásainak valamilyen tetszöleges idöpontra vetített értéke. Amennyiben ez az idöpont az üzembe helyezés idöpontja akkor diszkontálásról és jelenérték módszerröl, ha pedig a futamidö vége, akkor felkamatolásról és végérték módszerröl beszélünk.
a. Nettó jelenérték állandó kamatláb mellett
A nettó jelenérték módszerrel olyan projekteket tudunk közvetlenül összehasonlítani, amelyek azonos futamidövel és kezdeti tökelekötéssel rendelkeznek.

Az NPV abszolút kritérium: azok a projektek gazdaságosak, amelyekre NPV>0.
b. Nettó jelenérték változó kamatláb mellett
Azonnali
(spot) kamatláb: amely mellett a szerzödéskötés pillanatában meghatározott
lejáratra lehet kölcsönt nyújtani vagy felvenni: ![]()
Határidös
(forward) kamatláb: amely mellett a szerzödéskötés pillanatához képest egy
késöbbi idöpontban lehet kölcsönt nyöjtani vagy felvenni: ![]()
Piactisztító (implicit forward) kamatláb: egyensúlyi határidös kamatláb, piactisztitó mert megtisztítja a piacot az arbitrázslehetöségektöl.
Ezek a határidös kamatlábak, pl. a határidös kötvényvásárlások keretében jönnek létre.
Az azonnali és a határidös kamatlábakat összekapcsoló egyensúlyi összefüggés:

A változó azonnali kamatlábak ismeretében a jelenérték a következöképpen számítható:

A határidös kamatlábak ismeretében pedig:

c. NPV ismeretlen kamatláb esetén
- 646g66g 646g66g NPV elementáris értékpapírok segítségével:
Az elementáris értékpapírok olyan elméleti konstrukciók, amelyek egységnyi jövöbeli pénzáramot eredményeznek, arbitrázsmentes egyensúlyban segítségükkel minden tökepiaci termék felírható különbözö elemi értékpapírokból álló portfólióként (elementáris értékpapírok lineáris kombinációjaként)

πn - az n-ik idöszakhoz tartozó elemi értékpapír (diszkontfaktor)
- 646g66g 646g66g NPV ekvivalens portfolió segítségével
Ekvivalens portfóliónak nevezzük a tökepiacon jelenlevö értékpapírok olyan kombinációját, amely ugyanazt a pénzáramlást állítja elö, mint az elemzett fizikai beruházás. A szintetikus arbitrázsmentesség értelmében pedig az ugyanolyan pénzáramlást eredményezö portfóliók ára kiegyenlítödik.

Ebböl az egyenletrendszerböl az "n1", "n2" stb. ismeretleneket meghatározva arra kapunk választ, hogy melyik értékpapírból milyen mennyiséget kell vásárolni (n>0) vagy rövidre eladni (n<0) ahhoz hogy ezek segítségével elöálljon a beruházás pénzárama?
Az értékpapír mennyiségek ismeretében
meghatározható a replikatív portfólió ára, vagyis költsége (
), amit azután összevetve a beruházás historikus költségével
a következö döntés hozható:
Ha P>I0, akkor a beruházás gazdaságos, kevesebbe kerül, mint annak tökepiaci replikációja
d. Nettó jövöérték (Net Future Value, NFV)
A tökeértéket a futamidö végére vetíti
- 646g66g 646g66g feloldja a tökéletes tökepiac feltételezését: eltérö befektetési (h) és hitelfelvételi (s) kamatlábbal dolgozik: h<s
Kétfajta számítási módja van:
- 646g66g 646g66g kiegyenlítés nélkül:

- 646g66g 646g66g kiegyenlítéssel:

ahol
a kumulált
jövöértéket jelöli
Kiegyenlítés mellett megengedett a pozitív és negatív kumulált értékek kiegyenlítése. Periódusról periódusra történik az összegezés (kumulálás) ezért a felkamatolás is mindig egyetlen periódusra történik.
A kiegyenlítés nélküli esetben külön kell felkamatolni a pozitív és negatív pénzáramokat a futamidö végére ezért ez egy szigorúbb megtérülési kritérium, mint a kiegyenlítés melletti eset.
e. Dinamikus megtérülési idö
A statikus megtérülési idö esetéhez hasonlóan amennyiben táblázatos formába rendezzük a pénzáram jelenértékek és a kumulált jelenértékek oszlopát akkor kiolvasható az a T(-) idöpont, amely évben a megtérülés lezajlik. Ha pontosítani akarunk, pl. hónapokra a következö számítást kell elvégeznünk:

ahol
- a dinamikus
megtérülési idö pontosított értéke
- az a periódus, amelyben a kumulált jelenérték utoljára még
negatív
- a kumulált jelenérték a fenti periódusban
Kamatláb-módszerek
A kamatláb módszerek arra keresik a választ, hogy adott pénzárammal rendelkezö beruházások milyen belsö jövedelmezöséggel rendelkeznek?
a. 646g66g Belsö kamatláb módszer
A belsö megtérülési ráta (vagy belsö kamatláb) mellett a projekt nettó jelenértéke éppen nulla: NPV(IRR)=0
Kiszámítása csupán megközelítö módszerekkel lehetséges (Newton-féle érintömódszer, húrmódszer, lineáris interpoláció) vagy táblázatkezelö program megfelelö beépített függvényével (pl Excelben az IRR() függvény).
Húrmódszer (regula falsi)
Meghatározunk két próbakamatlábat, r1 és r2 -t a következöképpen:
Ha NPV(r1)>0 akkor r2> r1- et kell választani ellenkezö esetben r2 < r1 .
Az iterációs eljárás során pedig a harmadik próbakamatlábat a következöképpen határozzuk meg:

Ha NPV(r3)≈0 akkor IRR=r3
A belsö kamatláb módszer hiányosságai
Matematikai hiányosságok:
- 646g66g 646g66g többféle megoldás létezhet, több IRR értékre is elérheti az NPV a nullát.
- 646g66g 646g66g egyetlen megoldás sincs
NPV

Ellentmondás az NPV és IRR között
Az ábrán látható esetben a "B" beruházási projekt belsö megtérülési rátája nagyobb az A projekténél mégis az Ox szakaszon NPV(A)>NPV(B), ezen a szakaszon az NPV és IRR kritériumok egymásnak ellentmondanak. Ilyen helyzetekben az NPV kritérium élvez elsöbbséget az IRR kritérium fölött.
- 646g66g 646g66g 646g66g 646g66g 646g66g az NPV-hez hasonlóan az IRR módszer is vízszintes hozamgörbét (konstans, egységes kamatlábat) feltételez, vagyis azt feltételezi, hogy a beruházás által létrehozott pénzáramokat konstans IRR ráta mellett lehet a tökepiacon újrabefektetni. Éppenezért az IRR túlságosan optimálisnak ítéli meg a beruházás gazdaságosságát.
Abszolút kritérium: Azt a projektet érdemes megvalósítani amelyre IRR>i
Relatív kritérium: Két projekt közül azt érdemes megvalósítani amelynek nagyobb az IRR értéke.
b. 646g66g Kritikus kamatláb módszerek
Közös vonásuk, hogy szakítanak az egységes piaci kamatláb feltételezésével és igyekeznek meghatározni a hitelfelvételi kamatláb azon szintjét, amely mellett a beruházás még éppen megtérül.
Abszolút kritériumok: Az a beruházás gazdaságos, amelynek kritikus kamatlába meghaladja az aktuális tökepiaci hitelfelvételi kamatlábat.
Típusai:
Teichrow-Robichek-Montalbano (TRM): a kiegyenlítés melletti végértéket számolva határozza meg a kritikus kamatlábat
Vagyonjövedelmezöségi módszer: a kiegyenlítés nélküli végértéket számolva határozza meg a kritikus kamatlábat
MAPI (Machinary and Allied Products Institue) vagy Terborgh módszer: tulajdonképpen selejtezési idöpont meghatározására szolgál de ezt egy megtérülési ráta segítségével teszi melynek értékeit összehasonlítja a már müködö és az újonnan indítandó termelöeszköz esetén.
Módosított belsö megtérülési ráta (Modified Internal Rate of Return, MIRR):
Feloldja az IRR azon hiányosságát hogy vízszintes hozamgörbe mellett a pénzáramokat konstans IRR mellett lehet újrabefektetni. Az eltérö betéti és hitelkamatlábak feltételezésével szigorúbb (kevésbé optimista) megtérülési kritériumot állit elö.

3. Optimális futamidö döntések
A futamidö döntések annak a gazdaságilag optimális idöpontnak a meghatározását szolgálják ameddig érdemes egy beruházást müködtetni, tehát amikor érdemessé válik a selejtezés, egy új beruházás üzembe állítása. Rendszerint a gazdaságilag optimális futamidö rövidebb a müszakilag optimális futamidönél.
A futamidö számítások általános feltételei:
- 646g66g 646g66g tökeértékmódszereken alapulnak
- 646g66g 646g66g a döntési alternatívák számát elözetes megfontolások alapján korlátozni szükséges mert a futamidö döntések csak korlátozottan alkalmasak
- 646g66g 646g66g a pénzáramok teljes bizonyossággal ismertek
- 646g66g 646g66g tökéletes tökepiacot feltételezünk egységes kalkulatív kamatlábbal
- 646g66g 646g66g az optimális használati idötartam kritériuma a tökeérték. Az az optimális selejtezési idöpont, amelyben a tökeérték maximális
Fajtái:
- 646g66g 646g66g ex ante
- 646g66g 646g66g ex post
A beruházás implementációja elött esedékesek. Azt az idöpontot keressük ameddig a beruházónak még érdemes üzemeltetni az adott beruházást. Vagyis azt az idöpontot, amelyre az egész idötartamra vonatkozó tökeérték maximális. Minden periódusban kiszámítjuk a tökeértéket amennyiben abban a periódusban történne a kiselejtezés. Ezzel tulajdonképpen annyi, azonos tökelekötésü és eltérö élettartamú alternatívát hozunk létre amennyi periódusból a müszaki futamidö áll. Az alternatívák közti döntés kritériuma a maximális nettó jelenérték. Az az idöpont optimális selejtezésre amelyben NPV->max.
Ex ante futamidö döntés a jelenérték változást (határnyereséget) vizsgálva:
![]()
Az az optimális futamidö ahol az NPV még
növekszik tehát ahol utoljára
>0.
Itt q a kamattényezö vagyis q = 1+i.
A kérdés az, hogy az újonnan felmerülö alternatívák melyeket még az ex ante döntés pillanatában nem ismertünk hogyan változtatják meg elözetesen meghozott döntésünket?
A következö lépésekböl áll:
![]()

![]()
Végsö döntés: addig az idöpontig érdemes a régi beruházást müködtetni, amelyben a kumulált tökeérték-különbözet maximális, vagy (ami ugyanazt jelenti), ahol a tökeérték különbözet még pozitív.
4. Beruházástervezés
A beruházástervezés a beruházási alternatívákat nem egymagukban értékeli, hanem az adott vállalati és gazdasági környezet és vállalati cél függvényében.
Feltételek:
- 646g66g 646g66g nem tökéletes a tökepiac, a befektetési és hitelkamatlábak eltérnek
- 646g66g 646g66g a pénzáramok tejes bizonyossággal ismertek
A többféle vállalati cél kérdésköre:
Az ügynökelmélet és a morális kockázat kérdésköre arra hívja fel a figyelmet, hogy elsösorban nagyméretü vállalatok esetén a döntéshozók és tulajdonosok heterogén csoportjainak érdekösszhangja teremti meg a kompromisszumos jellegü vállalati célt.
Egyrészt a felsö vezetés (menedzsment) döntéseinek motivációs hátterében a folyó jövedelem olyan maximalizálása áll, amely még nem sérti a folyamatos müködést és tolerálható a részvényesek által. Másrészt a részvényesek haszna föként a tökeérték (részvényesi érték) gyarapodásából származik.
Ez két olyan célkitüzés, amelyek között nincs feltétlen és teljes összhang. Amennyiben a vállalati cél a vagyonvégérték maximalizálása, akkor ezt konstans, adott jövedelemkivonás mellett kell megtenni (végérték-maximalizáló modell).
Amennyiben a döntéshozatal a folyamatos jövedelemkivonást részesíti elönyben akkor egy jövedelem-kivonás maximalizáló modellhez jutunk konstans vagyonvégérték mellett.
A teljes körü pénzügyi terv (TPT) a rendelkezésre álló beruházási alternatívák átfogó kezelésének módszere, amely kiegészítö befektetések és hitelfelvételi lehetöségek segítségével kiterjeszti az összehasonlítás bázisát a vállalat tágabb müködésére és e müködés gazdasági feltételeire is.
A TPT elemzési kerete:
- 646g66g 646g66g egymástól eltérö és idöben változó betéti- és hitelkamatláb
- 646g66g 646g66g a pénzáramok teljes bizonyossággal ismertek
- 646g66g 646g66g az új beruházási alternatívák egymást kizáró jellegüek
- 646g66g 646g66g a befektetési és hitelfelvételi lehetöségek korlátlanul oszthatók és sokszorozhatóak bármekkora összegben lehet hitelt nyújtani vagy kölcsönt felvenni
- 646g66g 646g66g a hitelfelvételi lehetöségeket egy periódusonkénti hitelplafon segítségével korlátozzuk.
- 646g66g 646g66g A befektetési és hitelfelvételi lehetöségeket azonos moderált kockázati osztályba soroljuk
A TPT három pénzáram sorozattal számol:
- 646g66g 646g66g a vállalat bázishozama (operatív cash flow, Mt): azt mutatja meg hogy mekkora nettó pénzáramlás keletkezik a vállalat szintjén az elemzett beruházás megvalósítása nélkül.
- 646g66g 646g66g effektív beruházási hozam (CFt)
- 646g66g 646g66g rövid távú befektetési lehetöségek és hitelfelvételek sorozata
A TPT vagyonvégérték modellje:
ftY - jövedelemkivonás a t periódusban
ht - betéti kamatláb a t periódusban
st - hitelkamatláb a t periódusban
Ct - vagyonvégérték a t periódusban

A fenti összefüggés szerint a vagyonértéket minden periódusban úgy kapjuk, hogy a vállalati bázishozamhoz hozzáadjuk az illetö projekt által generált pénzáramot és kivonjuk a jövedelemkivonást. Továbbá hozzáadjuk az elözö idöszak végértékének egy periódussal felkamatozott értékét a betéti vagy hitelkamatláb mellett, aszerint, hogy pozitív vagy negatív az elözö idöszak vagyonértéke.
A döntési kritérium:
Max Cn
Y=const
5. Beruházás-ütemezés (beruházás-programozás)
A beruházás - programozási döntések esetén nem egyedi, egymást kizáró projektek rangsorolása a cél hanem egy hosszú távú optimális beruházási program kialakítása cél. A beruházások idöbeli ütemezésén van a hangsúly, tehát azt igyekszünk meghatározni, hogy az egyes beruházási projektek megvalósításának az adott gazdasági körülmények között mikor kell bekövetkezni?
Feltételek: ugyanazok, mint a TPT esetén
Lépések:
1. lépés: a kiválasztási tökeköltségvetési döntések seg0tségével kiszürjük az eleve nem gazdaságos projekteket.
2. lépés: elkészítjük az egymást kölcsönösen kizáró projektek rangsorát
A beruházási program nem feltétlenül akkor optimális, ha az egyenként leggazdaságosabb projektek kerülnek bele, hanem ha az a legnagyobb végértéket vagy a legmagasabb szintü jövedelemkivonást eredményezi.
Fajtái:
- 646g66g 646g66g szukcesszív: az egymást kölcsönösen kizáró projektek között felosztjuk a pénzügyi forrásokat a hagyományos tökeköltségvetési módszerek segítségével. Hiányossága hogy tulajdonképpen a választási döntések eredményét ütemezi be valamint hogy nem tesz különbséget az eltérö vállalati célok között
- 646g66g 646g66g szimultán: nem egymást követöen valósítjuk meg az egyes beruházási alternatívákat, hanem az egymást nem kizáró alternatívákat egyidöben indítjuk el.
Szimultán beruházás- és pénzügyi terv:
Egyidejüleg készíti el a beruházási és pénzügyi tervet, amelyek segítségével a beruházási és finanszírozási lehetöségek optimális kombinációját keressük.
Szimultán beruházás- és termelési terv:
Feladata a mindenkori vezetési cél függvényében optimális beruházási és termelési terv megvalósítása rögzített termelési kapacitások és pénzügyi kondíciók mellett.
FELADATOK
Statikus tökeköltségvetési módszerek
1. Egy vállalat jó piaci konjunktúra elött állva, bövítö beruházást tervez. Lehetösége van két gép (illetve beruházás) között választani: A, B. Mindkét beruházás ugyanazon terméktípus elöállítását szolgálja. A vállalat 5 évre készít tervet, és 10% kamattal kalkulál. A következö adatok ismertek:
|
|
A |
B |
|
Beszerzéssel kapcsolatos kiadások (Ft) |
220.000 |
190.000 |
|
Használati idö (év) |
4 |
5 |
|
Kapacitás (db/év) |
48.000 |
39.000 |
|
Teljesítménybér és járulékai (Ft/év) |
42.000 |
37.000 |
|
Egyéb bér-és bérjellegü kiadások (Ft/év) |
12.000 |
12.000 |
|
Anyagköltség (Ft/év) |
30.500 |
27.500 |
|
Egyéb fix költségek (Ft/év) |
7.000 |
5.000 |
|
Egyéb változó költségek (Ft/év) |
5.500 |
1.800 |
|
A termék értékesítési egységára (Ft/db) |
5 |
5 |
|
|
|
|
Kérdések
Melyik alternatíva elönyösebb, illetve hol van a kritikus mennyiség?
a) Költségösszehasonlító elemzés szerint
b) Jövedelmezöség összehasonlító elemzés szerint
c) Megtérülési idö módszer szerint, ha az éves eladható mennyiség:
1.) 624.000 db,
2.) 234.000 db
és lineáris amortizációs leírást tételezünk fel.
2. Egy teherautó 2,4 mFt-ba kerül. Várható müködési ideje 8 év. Mekkora az átlagos tökelekötés, ha
a) Folyamatos értékátadást tételezünk fel, és a likvidációs érték a használati idötartam végén zérus.
b) Folyamatos értékátadást feltételezve, de a likvidációs érték 200 eFt.
c) Lineáris amortizációs leírás mellett, a likvidációs érték zérus.
d) Lineáris amortizáció, és a likvidációs érték 200 eFt.
e) 10%-os kamatláb esetén mekkora a kalkulált kamat, ha a likviditási érték 200 eFt?
Dinamikus számítások
3. Két, egymást kölcsönösen kizáró alternatívát kell értékelni, ha a kalkulatív kamatláb 10%:
A ![]()
B ![]()
4. A következö információk adottak beruházási projektekröl:
|
|
|
|
|
|
|
|
|
I. |
-100.000; |
40.000; |
60.000; |
20.000; |
40.000; |
40.000 |
|
II. |
-100.000; |
60.000; |
60.000; |
40.000 |
|
|
|
III. |
-100.000; |
40.000; |
60.000; |
70.000 |
|
|
|
IV. |
-80.000; |
60.000; |
20.000; |
40.000; |
24.788 |
|
Hasonlítsa össze a projekteket a jelenérték módszer segítségével, ha a kamatláb 20%!
5. Ellenörizze döntésének helyességét az annuitás-számítás módszerének segítségével! Állítsa fel a beruházások gazdaságossági sorrendjét!
6. A dinamikus megtérülési idö módszer milyen sorrendet alkot az 1.4. példa projektjeiböl?
7. Mi a gazdaságossági sorrend a belsö kamatláb számítás szerint?
8. Állítsa fel a 4 projekt rangsorát a töke végértékek alapján, ha a befektetési kamatláb 18%, a hitelfelvételi kamatláb pedig 21%!
a) kiegyenlítési tilalom,
b) kiegyenlítési lehetöség mellett,
c) mely hitelfelvételi kamatláb esetén egyezik meg az I. és IV. projekt végértéke kiegyenlítési tilalom esetén?
9. Állapítsa meg, és hasonlítsa össze az egyes projekteket a kritikus hitel-felvételi kamatlábak alapján
a) TRM,
b) vagyonjövedelmezöség,
c) MIRR-eljárás szerint!
10. Két egymást kölcsönösen kizáró projekt müködtetési költségei a következök:
A (-100, 120, 135)
B (-120, 110, 140, 100)
A kalkulatív kamatláb (tökeköltség) 10%. Melyik gépet gazdaságosabb megvásárolni az éves költségegyenértékes (költség-annuitás) alapján?
11. A következö információk adottak egy beruházási projektröl:
A (-80000, 60000, 20000, 40000, 24788).
A hitelfelvételi kamatláb 21%, a befektetési kamatláb az elsö két évben 18%, majd a csökkenö infláció miatt 15%-ra csökken.
Gazdaságos-e a beruházás a nettó jövöérték módszer alapján (kiegyenlítési tilalom mellett)?
12. Mekkora a következö három pénzügyi tétel ( zero bond ) azonnali kamatlába ?
ZBI. Árfolyama: 90, egy éves futamidejü, lejáratkor 100 hozamot eredményez.
ZBII. Árfolyama: 80 , két éves futamidejü, lejáratkor 100 hozamot eredményez.
ZBIII. Árfolyama: 70, három éves futamidejü, lejáratkor 100 hozamot eredményez.
Mekkora az egyensúlyi kamatláb az elsö, és a második periódusok között, ha a tökepiacon csak ez a három pénzügyi tétel forgatható?
13. Legyen a tökepiacon a következö három pénzügyi tétel ( a feltüntetett értékek 100 névérték százalékában értendök ):
|
|
0 |
1 |
2 |
3 |
|
I. |
60 |
|
100 |
|
|
II |
99 |
27 |
127 |
|
|
III. |
110 |
28 |
29 |
130 |
Az I. pénzügyi tétel egy zero bond, - olyan speciális kötvény, ami tulajdonosának lejáratkor esedékes hozamot biztosít - amely ma 60-ba kerül és két év múlva 100 hozamot eredményez. A II. pénzügyi tétel mondjuk egy 27 % fix kamatozású, két éves maradvány futamidejü kötvény. A III. pénzügyi tétel egy, a lekötéstöl függöen változó kamatozású, 3 éves futamidejü kötvény.
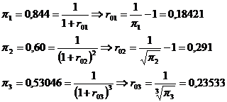
Fennáll a lehetöség egy, a következö hozamsorral jellemezhetö dologi beruházás megvalósítására: D ( -9500, 5000, 6000, 4000 )
Határozzuk meg a dologi beruházás fair árát, illetve nettó jelenlegi értékét!
14. Oldjuk meg az elözö feladatot az ekvivalens portfólió módszerrel!
15. Adott a következö hozamsorral jellemezhetö beruházás:
D (-9500, 5500, 6500, 3000)
Adottak a következö tökepiaci információk:
r01=18% spot kamatláb
r12=40,74% és r23=13,11% implicit forward kamatlábak.
Számítsuk ki a beruházás nettó jelenértékét! (10 pont)
Megoldások
1. a) Az 1. megoldási út lépései:
1. lépés: Mindkét alternatíva a költségfelosztás, a következök szerint:
Kf (fix költség) = amortizáció + kalk. kamatköltség + egyéb bér-és bérjellegü kiadások + egyéb fix költségek
![]()
Kv (változó költség) = anyagköltség + teljesítménybér + egyéb változó költségek

2. lépés: Mindkét alternatívára a költségreagálási fokok alapján a költségfüggvény felállítása, a következök szerint:
kv
(költségreagálási fok) =
![]()

3. lépés: A kritikus mennyiség meghatározására:

Ez azt jelenti, hogy a kritikus mennyiség
felett,
az A változat jobb,
kritikus mennyiség felett,
, vagyis a B változat a jobb.
1. b)A jövedelmezöség összehasonlító módszer szerint a megoldás lépései:
1. lépés: Az átlagosan lekötött töke megállapítása mindkét alternatívára: (mivel lineáris amortizációs leírást tételezünk fel, és a likvidációs érték zérus)

2. lépés: Az átlagos nyereség meghatározása:
M = Σ árbevétel - Σ
átlagos költség ![]()
1.) 624.000 db esetén

2.) 234.000 db esetén

3. lépés: A jövedelmezöség meghatározása: A B változatot részesíti elönyben, függetlenül az értékesíthetö mennyiségtöl (n a megvásárolt gépek száma).
![]()
1.) 624.000 db esetén

2.) 234.000 db esetén

1. c) A megtérülési idö módszere szerint a megoldás
![]()
A - a megtérülési idö
TSZ - (tökeszolgálat) = I0 x TSZF
![]()

A megtérülési idö módszer az A változatot részesíti elönyben B-vel szemben.
2. a)
![]()
b)
![]()
c)
![]()
d)
![]()
e)
![]()
3.

4. Az összehasonlítás lépcsöi:
1. lépés: I-II. projektek összehasonlítása:

A kiegészítö beruházás hozamai:

A kiegészítö beruházás jelenlegi értéke:

Az I. beruházás elönyösebb, mint a II. beruházás.
2. lépés: II-III. beruházások összehasonlítása:
![]()
A III. beruházás jobb. mint a II. beruházás.
3. lépés: I-III. beruházások összehasonlítása:
![]()
Kiegészítö beruházások hozamai:

A kiegészítö beruházás jelenlegi értéke: ![]()
Az I. beruházás elönyösebb, mint a III. beruházás.
4. lépés: I-IV. projektek összehasonlítása a beruházási láncok segítségével
Sorrend a beruházási láncok alapján: 1. III.
2. I-IV.
3. II.

5.
I. projekt

II. projekt

III. projekt

IV. projekt

6. sorrend: 1. II., 2. III., 3. IV., 4. I.
I. projekt
|
t |
Diszkontált hozamsor |
|
Kumulált tökeérték |
|
0 |
-100.000 |
|
-100.000 |
|
1 |
33.333,3 |
|
-66.666 |
|
2 |
41.666,7 |
|
-25.000 |
|
3 |
11.574,0 |
|
-13.426 |
|
4 |
19.290,2 |
|
5.864,2 |
|
5 |
16.075,1 |
|
21.939,3 |

II. projekt
|
t |
Diszkontált hozamsor |
|
Kumulált tökeérték |
|
0 |
-100.000 |
|
-100.000 |
|
1 |
50.000 |
|
-50.000 |
|
2 |
41.666,7 |
|
-8.333,3 |
|
3 |
23.148,15 |
|
14.814,81 |
![]()
III. projekt
|
t |
Diszkontált hozamsor |
|
Kumulált tökeérték |
|
0 |
-100.000 |
|
-100.000 |
|
1 |
33.333,3 |
|
-66.666,6 |
|
2 |
41.666,6 |
|
-25.000 |
|
3 |
40.509,25 |
|
15.509,26 |
![]()
IV. projekt
|
t |
Diszkontált hozamsor |
|
Kumulált tökeérték |
|
0 |
-80.000 |
|
-80.000 |
|
1 |
50.000 |
|
-30.000 |
|
2 |
13.888,8 |
|
-16.111,1 |
|
3 |
23.148,15 |
|
7.037,04 |
|
4 |
11.954,06 |
|
18.991,1 |
![]()
7.
Sorrend: 1. I., 2. IV., 3. II., 4. III.
|
IRR (I) |
|
30,08% |
|
IRR (II) |
|
29,90% |
|
IRR (III) |
|
28,79% |
|
IRR (IV) |
|
34,21% |
8. a)
Sorrend: 1. I., 2. IV., 3. III., 4. II.
a) I. projekt
Kiadási
többletek végértéke: ![]()
Bevételi
többletek végérték összege: ![]()

II. projekt
|
Kiadási többlet végértéke: |
- 259.374,25 |
|
Bevétel többletek végértéke: |
|
|
60.000 x 1,184 + 50.000 x 1,182 = |
+270.604,59 |
|
+ 40.000 x 1,182 |
|
|
|
11.230,34 |
III. projekt
|
Kiadási többlet végértéke: |
- 259.374,25 |
|
Bevétel többletek végértéke: |
|
|
40.000 x 1,184 + 60.000 x 1,183 |
|
|
(+ 70.000 x 1,182 ) = = |
+273.601,03 |
|
|
14.226,78 |
IV. projekt
|
Kiadási többlet végértéke: |
- 207.499,4 |
|
Bevétel többletek végértéke: |
|
|
(60 x 1,184 + 20 x 1,183 + 40 x 1,182 |
|
|
+ 24,788 x 1,18 =) |
+234.133,15 |
|
|
26.633,75 |
8. b)
Sorrend: 1. I., 2. IV., 3. III., 4. II.
b) I. projekt
|
t |
Kumulált végértékek |
||||||
|
1. |
-100.000 |
x |
1,21 |
|
40.000 |
|
-81.000 |
|
2. |
- 81.000 |
x |
1,21 |
|
60.000 |
|
-38.010 |
|
3. |
-38.010 |
x |
1,21 |
|
20.000 |
|
-25.992,1 |
|
4. |
-25.992,1 |
x |
1,21 |
|
40.000 |
|
+ 8.549,56 |
|
5. |
+ 8.549,56 |
x |
1,18 |
|
40.000 |
|
50.088,48 |
II. projekt
|
t |
Kumulált végértékek |
||||||
|
1. |
-100.000 |
x |
1,21 |
|
60.000 |
|
-61.000 |
|
2. |
- 61.000 |
x |
1,21 |
|
60.000 |
|
-13.810 |
|
3. |
- 13.810 |
x |
1,21 |
|
40.000 |
|
+23.289,9 |
|
4. |
+23.289,9 |
x |
1,18 |
|
|
|
+27.482,1 |
|
5. |
+27.482,1 |
x |
1,18 |
|
|
|
+32.428,86 |
III. projekt
|
t |
Kumulált végértékek |
||||||
|
1. |
-100.000 |
x |
1,21 |
|
40.000 |
|
-81.000 |
|
2. |
-81.000 |
x |
1,21 |
|
60.000 |
|
-38.010 |
|
3. |
-38.010 |
x |
1,21 |
|
70.000 |
|
+24.007,9 |
|
4. |
+24.007,9 |
x |
1,18 |
|
|
|
+28.329,3 |
|
5. |
+28.329,3 |
x |
1,18 |
|
|
|
+33.428,6 |
IV. projekt
|
t |
Kumulált végértékek |
||||||
|
1. |
-80.000 |
x |
1,21 |
|
60.000 |
|
-36.800 |
|
2. |
-36.800 |
x |
1,21 |
|
20.000 |
|
-24.528 |
|
3. |
-24.528 |
x |
1,21 |
|
40.000 |
|
+10.321,12 |
|
4. |
+10.321,12 |
x |
1,18 |
|
24.780 |
|
+36.966,92 |
|
5. |
+36.966,92 |
x |
1,18 |
|
|
|
+43.620,97 |
8. c) Kiegyenlítési tilalom:
I.
projekt: ![]()
IV.
projekt: ![]()
a keresett kamatláb 23,23%
9.
a) TRM = kiegyenlítés melletti
I. projekt

![]()
![]()
II. projekt
![]()
III. projekt
![]()
IV. projekt
![]()
A legjobb, amelyik a legnagyobb hitelfelvételi kamatlábat "elbírja", tehát a sorrend:
1. IV.
2. II.
3. I.
4. III.
9.
b) Vagyonjövedelmezöség-módszer - kiegyenlítési tilalom esetén
|
I. projekt: |
-100.000 x5 + 291.181,03 = 0 x =1,238323,83% |
|
II. projekt: |
-100.000 x5 + 270.604,59 = 0 x =1,220322,03% |
|
III. projekt: |
-100.000 x5 + 273.601,03 = 0 x =1,223 22,3% |
|
IV. projekt: |
-80.000 x5 + 234.133,15 = 0 x =1,239623,90% |
A legjobb, amelyik a legnagyobb hitelfelvételi kamatlábat "elbírja", tehát a sorrend:
1. IV.
2. I.
3. III.
4. II.
9.
c) MIRR eljárás:

Ebböl látható, hogy a MIRR eljárás speciális esete a vagyonjövedelmezöség módszere, ha

I. projekt:
![]()
12.
1. lépés: A spot rate-k meghatározása
2. lépés: a forward rate meghatározása

3. lépés: az egyensúlyi helyzet bizonyítása
Akkor lesz ez a kamatláb piactisztító hatású, ha találunk olyan, az 1. periódusban induló, és a másodikban lejáró zero bondot, amelynek 2. periódusbeli hozamát és 1. periódusbeli értékét úgy tudjuk meghatározni, hogy a piacon közben nincsenek arbitrage lehetöségek. Ez a szükséges feltétele annak, hogy a fenti kamatláb egyensúlyi kamatláb legyen. Elégséges feltételünk az lesz, hogy nincsen másik kamatláb, amely hasonlóképpen viselkedne.
A bizonyítást az ún. termin hitel konstrukció segítségével végezzük, ami tulajdonképpen a forward rate kiszámítására ad lehetöséget azáltal, hogy eredményeképpen elöáll a keresett zero bond.
A termin hitel konstrukció lényege, hogy a piacon lévö értékpapírokat - jelen példában két zero bond - a 0. periódusban hitelböl vásároljuk meg, olyan hitelböl, amelynek futamideje éppen a piacon lévö leghosszabb futamidejü értékpapír futamidejével egyezik meg. Így pénzügyi tranzakciónk egyenlege a 0. periódusban zérus lesz, tehát kalkulálható az 1. és 2. periódusok közti forward rate.
|
|
0 |
1 |
2 |
|
ZBI |
-90 |
+100 |
|
|
ZBII |
-80 |
|
+100 |
|
Terminhitel |
+170 |
|
-212,5 |
|
Egyenleg |
0 |
+100 |
-112,5 |
|
ZB |
|
-100 |
+112,5 |
|
Egyenleg |
0 |
0 |
0 |
|
ZB |
|
-100 |
+113 |
|
Egyenleg |
0 |
0 |
+0,5 |
A termin hitel tulajdonképpen negatív zero bond. Jelen példánkban 2
éves futamidejü és kamatlába:
. Ezért egy összegbeni visszafizetése:
összegben történik. A
felvett hitel eredményeként a 0. periódusban pénzügyi egyenlegünk zérus, majd
az elsö periódusban 100, míg a 2. periódusban a hitel visszafizetése után
112,5 hiány mutatkozik, ami egy elsö periódusban induló 100 értékü,
és 2. periódusban lejáró 112,5 hozamot produkáló zero bond 1. periódusban
történö megvásárlásával finanszírozható úgy, hogy egyenlegünk minden
periódusban zérus lesz, tehát nincsen free lunch, nincs arbitrage
lehetöség.
Ebben az esetben a keresett zero bond 1. periódusbeli értéke 100, hozamígérete a 2. periódusban 112,5. Így számolható a forward rate, ami ugyanakkora lesz, mint az implicit forward rate.
Látható a táblázatból az is, hogy minden más esetben a 2. periódusbeli egyenleg nem lesz zérus. Ha a példa kedvéért a piacon az 1. periódusban 100 befektetésre olyan egyperiódusú értékpapír vásárolható, amely 113 hozamot eredményez, akkor mindjárt 0,5 free lunch keletkezik, tehát csak emellett az implicit forward rate mellett van a piacon egyensúly, nincsenek arbitrage lehetöségek.
13. Az eddigi ismereteink alapján a nettó jelenlegi érték meghatározásához szükség lenne egy kalkulatív kamatlábra, aminek a segítségével a hozamsor diszkontálása elvégezhetö. A rendelkezésre álló információk azonban ilyen adatot nem tartalmaznak. Feltevésünk szerint a tökepiacon fellelhetö befektetési lehetöségek ugyanolyan kockázati kategóriába soroltak, mint az értékelni szándékozott dologi beruházás.
Keressük azokat a periódusonkénti kamatláb-értékeket, amelyekkel a dologi beruházás hozamsorának jelenlegi értéke meghatározható.
Ehhez elöször arra lesz szükség, hogy a periódusonkénti spot rate-ket meghatározzuk, majd ezek segítségével végezzük a diszkontálást. Tekintettel arra, hogy a tökepiaci pénzügyi tételek között csak egy van, amelyik egyösszegü lejárati hozammal rendelkezik, ezért csak erre kalkulálható a spot rate:
A diszkontáláshoz szükséges többi spot rate kiszámítása már csak közvetve, az elementáris értékpapírok segítségével lehetséges. Az elementáris értékpapírok olyan speciális értékpapírok, amelyek egységnyi jövöbeli hozamot eredményeznek. Tekintettel arra, hogy most már a többperiódusú modell feltételei között vizsgálódunk, így eltérö periódusokban egységnyi hozamot eredményeznek és segítségükkel minden tökepiaci, és tökepiacon kívüli pénzügyi tétel egyértelmüen felírható a különbözö futamidejü elementáris értékpapírokból álló portfólióként.
Ezen értékpapírok jelenlegi értéke -
- mindig a
futamidötöl függö diszkontfaktor:

Definíciónk értelmében ezek a spot rate segítségével képzett
diszkonttényezök, ahol
rendre a t = 1-ben, t
= 2-ben és t = 3-ban egységnyi hozamot produkáló elementáris értékpapírok
jelenlegi értékei.
Azt állítottuk továbbá, hogy minden tökepiaci pénzügyi tétel felírható az elementáris értékpapírok segítségével. Akkor most írjuk fel különbözö összetételü elementáris értékpapírokból álló portfólióként mindhárom pénzügyi tételt:
I. pénzügyi tétel :
![]()
II. pénzügyi tétel :
![]()
III. pénzügyi tétel :
![]()
![]()
Az így kapott, három ismeretlenes és három egyenletböl álló egyenletrendszer megoldása, az elementáris értékpapírok jelenlegi értékének meghatározása :
![]()
![]()
![]()
Ebböl könnyüszerrel elöállíthatók a periódusonkénti spot rate-k is:

A dologi beruházás jelenlegi értékének meghatározása a spot rate segítségével:
![]()
Ebböl már látható, hogy a dologi beruházás fair ára nagyobb, mint a bekerülési költsége, tehát alulértékeltnek minösíthetö. Nettó jelenlegi értéke: 444. Pozitív, tehát az alternatívára vétel javasolható.
Próbáljuk meg a tökepiaci pénzügyi tételek segítségével a dologi beruházás tökepiaci megfelelöjét meghatározni, majd nézzük meg, hogy ugyanezt a hozamsort mennyibe kerülne a tökepiacon elöállítani.
Az értékelendö dologi beruházás 5000 darab egyperiódusú, 6000 darab kétperiódusú és 4000 darab három periódus hosszú elementáris értékpapírokból álló portfólióként írható fel. Az elementáris értékpapírok egységára már ismert, így a beruházás jelenlegi értéke:
![]()
Ezek után már kevéssé meglepö, hogy ugyanehhez az eredményhez jutottunk, hiszen látható, hogy a hozamsor jelenlegi értéke nagyobb, mint a dologi beruházás bekerülési költsége. Ezért a dologi beruházás jobb, mint a tökepiaci alteregója, mivel kevesebbe kerül, mint ugyanezt a hozamsort a tökepiacon elöállítani.
14. A nettó jelenlegi érték az ekvivalens portfólió segítségével
Konkrét példánkban az egyenletrendszer a következöképpen néz ki :
|
|
I. |
|
II. |
|
III. |
|
dologi |
|
t=1 |
|
|
|
|
|
|
5000 |
|
t=2 |
|
|
|
|
|
|
6000 |
|
t=3 |
|
|
|
|
|
|
4000 |
Ez az egyenletrendszer minden további nélkül megoldható "n" re, így megkapjuk az egyes pénzügyi tételek ekvivalens portfólióbeli súlyát.

A pozitív elöjelü értékek azt jelzik, hogy az adott pénzügyi tételböl vásárolni szükséges, a negatív elöjel pedig az eladást jelenti. A tözsdén természetesen úgy is lehet eladni, hogy nem rendelkezünk az adott értékpapírral, erre valók a határidös ügyletek, ezért nem zavaró a negatív elöjel.
Ez az összetételü portfólió biztosítja, hogy a befektetések jövöbeli hozamstruktúrája éppen megegyezzék a dologi beruházás periódusonkénti hozamaival.
Most már csak az a kérdés, hogy mennyibe kerül egy ilyen portfóliót összeállítani a tökepiacon, vagyis hogy mekkora lesz az ekvivalens portfólió bekerülési költsége? Ismertek a pénzügyi tételek egységárai, valamint mennyiségei, ezért számolható a bekerülési költség :
![]()
A tökepiacon ugyanolyan hozamot biztosító befektetés tehát többe kerül, mint a dologi beruházás, ezért azt célszerü megvalósítani. ( A negatív elöjel arra utal, hogy pénzügyi egyenlegünk tartozást mutat, tehát ez lesz a nettó befektetési összeg. )
FELADATOK
1. Egy gép 80.000 Ft-ba kerül, mellyel a következö 4 évben 90.000 Ft/év nettó bevétel tervezhetö.
A gép maradványértékei rendre: Lt
Az árbevétel eléréséhez szükséges ráfordítások: Kt
10%-os kalkulációs kamatláb mellett határozzuk meg az optimális használati idöt, ha:
a) nem pótolják a gépet,
b) egyszeri ismétlés esetén,
c) végtelen ismétlés esetén.
2. Egy vállalkozó radírgumi gyártó gép beszerzését tervezi, mert piackutató tevékenysége folytán piaci rést talált. Elözetes megállapodások alapján biztosan értékesíteni tud:
|
|
1. |
2. |
3. |
4. |
5. |
6. |
|
|
|
|
x |
|
E db radírgumit |
|||||||
Az értékesítési ár a mennyiség függvénye: 10.000 db-ig 11.-Ft/db, efelett minden 5.000 db után 5% árengedményt kell adni.
A gépröl beszerzett információk:
Kapacitás: 40 E db/év
Beszerzési és üzembe-állítási költség: t =
0
240.000 Ft
Likvidációs értékek tervezése:
Lt
A várható üzemeltetési kiadások:
Kt
Kalkulatív kamatláb: 12%
Kérdések:
a) Mekkora a beruházás tökeértéke, ha a müszakilag lehetséges élettartam végéig üzemeltetik?
b) Az optimális használati idö, ha nem történik pótlás?
c) Az optimális használati idö, ha a beruházást egyszer pótolják a használati idön belül?
d) Az optimális használati idö, ha a pótlás egyszer, a használati idö után történik?
e) Az optimális használati idö, ha végtelen gyakori pótlást tételezünk fel?
3. Egy pudinggyártó gépsort már régóta használnak. Mai értékesítése esetén, várhatóan 2 MFt/n0 bevételre lehetne szert tenni. További üzemeltetés esetén t = 1-ben a szokásos üzemeltetési költségeken kívül 0,5 MFt felújítási költséggel kell számolni. A felújítás után még két évig használható.
|
|
1. |
2. |
3. |
4. |
|
|
Üzemeltetési költségek |
|
|
|||
|
Likvidációs értékek |
|
(EFt-ban) |
A piacon egy új pudinggyártó automata jelent meg. 4 MFt-ba kerül. Ugyanakkora mennyiség esetén a várható üzemeltetési költsége 1.800 EFt. Müszaki élettartama 7 év. A likvidációs értékek rendre:
Lt
Milyen árbevétel mellett, milyen stratégia javasolható, milyen idöszakokra? Ha a kalkulációs kamatláb 12% és a piac telítettsége miatt az árbevétel mindkét alternatíva esetén, minden periódusban ugyanannyi?
Megoldások
1. a) Lépés: a beruházási alternatívák és tökeértékek, ha nincs pótlás
|
|
(EFt-ra kerek.) |
|
|
|
|
I. |
|
|
C0(I) = 10.900 |
|
|
II. |
|
|
C0(II) = 17.520 |
|
|
III. |
|
|
C0(III) = 17.900 |
|
|
IV. |
|
|
C0(IV) = 18.720 |
(opt. idöpont) |
b) Egyszeri ismétlés
|
|
0 |
1 |
2 |
3 |
4 |
5 |
6 |
|
|
I. |
|
|
|
|
|
|
||
|
II. |
|
|
|
|
||||
|
III. |
|
|
||||||
|
IV. |
|
|
|
|
|
|
|
I. |
|
C0(I) = 20.830 |
|
|
II. |
|
C0(II) = 32.000 |
optimális |
|
III. |
|
C0(III) = 31.340 |
|
|
IV. |
|
C0(IV) = 31.490 |
|
c)

2. a) 1. lépés: a beruházás árbevételének megállapítása
Árbevétel:
t = 1
10.000 x 11 = 110.000 (11 Ft/db)
t = 2
10.000 x 11 + 5.000 x 10,45 = 162.500 (10,83 Ft/db)
t =3
10.000 x 11 + 5.000 x 10,45 + 5.000 x 9,9275 = 212.137,50
(10,61 Ft/db)
t = 4
10.000 x 11 + 5.000 x 10,45 + 5.000 x 9,9275 + 5.000 x
9,431125 + 5.000 x 8,95956875 = 294.659,8 (9,822 Ft/db)
t = 5
294.659,8 + 5.000 x 8,9 x 0,95 (8,511590313) = 337.217,7
(9,634 Ft/db)
t = 6
337.257,7 + 5.000 x 8,511590313 x 0,95 (8,086) = 377.647,7
(9,44 Ft/db)
2. lépés: A beruházás
hozamai:
(árbevétel - költség)
![]()
A tökeérték 6 éves üzemeltetés esetén:
![]()
b) Az optimális használati idö:
|
|
|
|
I. |
|
|
II. |
|
|
III. |
|
|
IV. |
|
|
V. |
|
|
VI. |
|
|
|
|
|
|
|
|
|
A legnagyobb tökeértékü az V. változat, ezért az optimális használati idö az 5. év végéig tart.
c) Az optimális használati idö, ha a beruházást egyszer pótolják a tervezési idöszakban: (eFt)
|
0 |
1. |
2. |
3. |
4. |
5. |
6. |
|
Csere t = 1-ben |
|
|
|
|
|
|
|
-240 |
+190 |
52.000 |
92.137,5 |
154.659,8 |
117.217,7 |
37.647,7 |
|
Σ -240 |
-240 50.000 |
52.000 |
92.137,5 |
154.659,8 |
117.217,7 |
37.647,7 |
|
Csere t = 2-ben |
|
|
|
|
|
|
|
-240 |
10 |
202.500 -240.000 |
92.137,5 |
154.659,8 |
117.217,7 |
37.647,7 |
|
Σ -240 |
10.000 |
-37.500 |
92.137,5 |
154.659,8 |
117.217,7 |
37.647,7 |
|
csere t = 3-ban |
|
|
|
|
|
|
|
-240 |
10 |
52.000 |
222137,5 -240.000 |
154.659,8 |
117.217,7 |
37.647,7 |
|
Σ -240 |
10.000 |
52.000 |
-17862,5 |
154.659,8 |
117.217,7 |
37.647,7 |
|
csere t = 4-ben |
|
|
|
|
|
|
|
-240 |
10 |
52.000 |
92.137,5 |
234.659,8 -240.000 |
117.217,7 |
37.647,7 |
|
Σ -240 |
10.000 |
52.000 |
92.137,5 |
-5340,2 |
117.217,7 |
37.647,7 |
|
csere t = 5-ben |
|
|
|
|
|
|
|
-240 |
10 |
52.000 |
92.137,5 |
154.659,8 |
167.217,7 -240.000 |
37.647,7 |
|
Σ -240 |
10.000 |
52.000 |
92.137,5 |
154.659,8 |
-72.782,3 |
37.647,7 |
Tökeérték (12%)
csere t = 1-ben =

A tervidöszak alatt egyszer pótolni csak az elsö periódusban lehetséges, de az sem éri meg.
d) Azonos beruházások
Nem érdemes foglalkozni a negatív tökeértékü változatokkal (ld. 2.1. b)
IV.

![]()
V.

![]()
VI.

![]()
Egyszeri ismétlés esetén is az V. elönyös
e) Végtelen, azonos beruházási lánc:


3.
1. lépés: A régi gép optimális használati idejének meghatározása.
(E = árbevétel)
|
|
0 |
1 |
2 |
3 |
4 |
|
||||||
|
|
-2000 |
E - 1800 |
|
|
|
|
||||||
|
I. |
|
-500 |
|
|
|
|
||||||
|
|
|
+1500 |
|
|
|
|
||||||
|
|
|
|
|
|
||||||||
|
|
-2000 |
E - 1800 |
E - 2000 |
|
|
|
|
|||||
|
II. |
|
-500 |
+ 1000 |
|
|
|
|
|||||
|
|
|
|
|
|
||||||||
|
|
-2000 |
E - 1800 |
E - 2000 |
E - 2200 |
|
|
|
|||||
|
III. |
|
- 500 |
|
+ 500 |
|
|
|
|||||
|
|
|
|
|
|
||||||||
|
|
-2000 |
E - 1800 |
E - 2000 |
E - 2200 |
E - 2400 |
|
|
|||||
|
IV. |
|
- 500 |
|
+ 500 |
+ 100 |
|
|
|||||
|
|
|
|
||||||||||
Ugyanaz az eredmény, ha:
|
t |
|
|
|
|
|
|
|
|
|
|
|
1. |
E - 800 |
2000 |
2240 |
E - 3040 |
|
2. |
E - 1000 |
1500 |
1680 |
E - 2680 |
|
3. |
E - 1700 |
1000 |
1120 |
E - 2820 |
|
4. |
E - 2300 |
500 |
560 |
E - 2860 |
Összefüggés: ![]()
![]()
(max.
), ha
1. periódusig érdemes
üzemeltetni.
|
|
> |
|
|
ez az effektív |
|
|
> |
|
|
|
|
|
> |
|
|
|
max., ha
2. periódusig
|
|
> |
ezek effektívek |
|
|
> |
|
|
|
> |
|
max., ha
3. periódusig
|
|
> |
|
|
|
> |
ezek effektívek |
|
|
> |
|
max., ha
4. periódusig
|
|
> |
|
|
|
> |
|
|
|
> |
|
A t = 0-ban kell kicserélni, ha mindegyik tökeérték negatív:
|
|
< |
0, |
ha |
< |
3040 |
|
|
|
< |
0 |
ha |
< |
2870,3 |
|
|
|
< |
0 |
ha |
< |
2855,1 |
- ez az effektív |
|
|
< |
0 |
ha |
< |
2856,6 |
|
A végére vonatkozó következtetések összefoglalása:
E < 2855,1 esetén t = 0-ben kicserélni a régit
2855,1 < E < 2862,3 esetén a 3. periódus végéig tart az optimális használati idö
2862,3 < E esetén a 4. periódus végéig
2. lépés: Az új gép optimális használati idejének megállapítása
|
|
|
|
|
|
|
|
|
1. |
E + 1500 |
4000 |
4480 |
E - 2980 |
0,897857 |
E - 2660,7 |
|
2. |
E + 700 |
3300 |
3696 |
E - 2996 |
0,7972 |
E - 2388,4 |
|
3. |
E - 200 |
2500 |
2800 |
E - 3000 |
0,7118 |
E - 2135,3 |
|
4. |
E - 1000 |
1600 |
1792 |
E - 2792 |
0,6355 |
E - 1774,3 |
|
5. |
E - 1300 |
800 |
896 |
E - 2196 |
0,5674 |
E - 1246,0 |
|
6. |
E - 1700 |
500 |
560 |
E - 2260 |
0,5066 |
E - 1145,0 |
|
7. |
E - 1800 |
100 |
112 |
E - 1912 |
0,4524 |
E - 864,9 |
Nem megvalósítható az új beruházás, ha minden periódusban negatív a tökeérték, vagyis:
|
|
|
0,892857 |
E - 2660,7 |
|
< 0 |
|
E < 2980 |
|
|
|
1,69 |
E - 5049,1 |
|
< 0 |
|
E < 2388,4 |
|
|
|
2,402 |
E - 7184,4 |
|
< 0 |
|
E < 2135,3 |
|
|
|
3,0375 |
E - 8958,7 |
|
< 0 |
|
E < 1774,3 |
|
|
|
3,6044 |
E - 10204,7 |
|
< 0 |
|
E < 1246,0 |
|
|
|
4,111 |
E - 11349,7 |
|
< 0 |
|
E < 1145,0 |
|
|
|
4,5634 |
E - 12214,6 |
|
< 0 |
|
E <
864,9 |
ezalatt a veszteség
nem kerülhetö el.
Az új gép optimális használati ideje:
|
|
> |
|
ha |
E < 2996 |
|
|
|
> |
|
ha |
E < 2997,5 |
|
|
|
> |
|
ha |
E < 2936,6 |
|
|
|
> |
|
ha |
E < 2782,2 |
|
|
|
> |
|
ha |
E < 2700 |
|
|
|
> |
|
ha |
E < 2602,8 |
- ez az effektív |
|
|
> |
|
|
E > 2996 |
|
|
|
> |
|
|
E < 3000 |
|
|
|
> |
|
|
E < 2901,3 |
|
|
|
> |
|
|
E < 2693 |
nem lehetséges |
|
|
> |
|
|
E < 2602,4 |
|
|
|
> |
|
|
E < 2493,7 |
|
|
|
> |
|
|
E > 2997,5 |
|
|
|
> |
|
|
E > 3000 |
|
|
|
> |
|
|
E < 2791,9 |
nem lehetséges |
|
|
> |
|
|
E < 2511,9 |
|
|
|
> |
|
|
E < 2437,3 |
|
|
|
> |
|
|
E < 2327,3 |
|
|
|
> |
|
|
E > 2700 |
|
|
|
> |
|
|
E > 2901,3 |
|
|
|
> |
|
|
E > 2792 |
|
|
|
> |
|
|
E < 2196 |
nem lehetséges |
|
|
> |
|
|
E < 2223 |
|
|
|
> |
|
|
E < 2133,7 |
|
|
|
> |
|
|
E > 2782,2 |
|
|
|
> |
|
|
E > 2693 |
|
|
|
> |
|
|
E > 2511,9 |
|
|
|
> |
|
|
E > 2196 |
nem lehetséges |
|
|
> |
|
|
E < 2260 |
|
|
|
> |
|
|
E < 2095,8 |
|
|
|
> |
|
|
E > 2700 |
|
|
|
> |
|
|
E > 2602,4 |
|
|
|
> |
|
|
E > 2437,3 |
|
|
|
> |
|
|
E > 2223 |
nem lehetséges |
|
|
> |
|
|
E > 2260 |
|
|
|
> |
|
|
E < 1912 |
|
|
|
> |
|
|
E > 2602,8 |
|
|
|
> |
|
|
E > 2493,7 |
|
|
|
> |
|
|
E > 2327,3 |
|
|
|
> |
|
|
E > 2133,7 |
nem lehetséges |
|
|
> |
|
|
E > 2095,8 |
|
|
|
> |
|
|
E < 1912 |
|
Az új gépre vonatkozó következtetések összefoglalása:
Egyáltalán nem éri meg termelésbe vonni, ha E < 2676,6, efelett viszont mindig 7 periódus az optimális használati idö.
3. lépés: Az optimális stratégia meghatározása:
t = 0-ban eladni a régit és a pénzt bankba tenni, vagy befektetni, ha
E < 2676,6 t = 0-ban csere, ha 2676,6 < E < 2855,1
Ha E < 2855,1, akkor megállapítandó az új berendezés optimális használati idejére (7 év) jutó annuitás:

|
t |
|
|
|||
|
1 |
E - 3040 - E |
|
2676,6 |
|
-363,4 |
|
2 |
E - 2680 - E |
|
2676,6 |
|
-3,4 |
|
3 |
E - 2820 - E |
|
2676,6 |
|
-143,4 |
|
4 |
E - 2860 - E |
|
2676,6 |
|
-184,4 |
|
|
|
|
|
|
|
Ha E > 2855,1, akkor a régi berendezést szintén t = 0-ban kell kicserélni az újra, amit 7 évig lehet használni.
|
|
|
t |
|
|
|||
|
1 |
E - 3040 - E |
|
2980 |
|
-60 |
|
2 |
E - 2680 - E |
|
2996 |
|
+316 |
|
3 |
E - 2820 - E |
|
3000 |
|
+190 |
|
4 |
E - 2860 - E |
|
2792 |
|
-68 |
|
|
|
|
|
|
|
Ha a tényadatokkal dolgozunk - nem az átlagos annuitással, akkor a régi gépet a 3. periódus végéig érdemes még üzemeltetni, ha E > 2855,1, mert eddig tökeérték-elönye van az újjal szemben. Ezt kell elönyben részesíteni, mert ismertek az új berendezés likvidációs értékei.
FELADATOK
1.
Valaki 3 éves idöhorizontra tervez. Vállalkozásának bázishozamai:
|
|
0 |
1. |
2. |
3. |
|
M |
|
|||
|
|
|
|
|
|
Célja a 3. év végi tökeérték maximálás, periódusonként Y = 20 jövedelemkivonás mellett. A befektetési kamatláb 15%, a hitelfelvételi kamatláb 20%.
a) Minimum mekkora végértékünek kell lenni egy beruházásnak ahhoz, hogy a jövedelemkivonás megvalósítható legyen?
b) Ha a cél a jövedelemkivonás maximálása 250 végérték mellett, akkor ez mekkora periódusonkénti jövedelemkivonásra ad lehetöséget?
2.
Egy vállalat a következö 4 évre készít tervet. Három beruházási alternatíva áll rendelkezésére.
|
|
t = 0 |
1. |
2. |
3. |
4. |
|
A |
|
||||
|
B |
|
||||
|
C |
|
||||
|
M |
|
||||
|
f |
|
||||
|
h |
|
||||
|
s |
|
Ezen adatok és információk birtokában értékelje a beruházásokat a TPT segítségével, ha
a) Y = 60 és végérték-maximálás a célkitüzés
b) végérték
min. elvárás
(min.) = 50 és jövedelemkivonás max. a cél (A hitellimit elsö periódus után:
200)
c) hogyan
változik a rangsor, ha az
= 0,20 helyett 0,22
lesz?
3.
Valakinek 100.000 Ft tökéje van ami 5 évre szabadon befektethetö. A következö lehetöségek állnak rendelkezésre:
I. Egy Bt-nek 60.000 Ft kölcsönre lenne szüksége, melyet a következö 5 évben, évente 15.000 Ft-os törlesztörészletekkel fizetne vissza.
II. Kötvényt vásárolni 97%-os árfolyamon 13%-os nominális kamatláb mellett. 5 éves maradvány-futamidöre, amikor 10%-os prémium várható a névértékre.
III. 646g66g 646g66g 646g66g 646g66g Egy jó barát (vállalkozó, taxis) számára kölcsönadni 80.000 Ft-ot, aki 5 év múlva, egy összegben a dupláját fizeti vissza.
IV.Egy bankba tenni, ahol a betéti kamatlábak a lekötés idöszakától függöen:
1 éves lekötés esetén 13%
2 éves lekötés után a 2. évre 14%
3 éves lekötés esetén a 3. évre 14,5%
4 éves lekötés esetén a 4. évre 15%
5 éves lekötés esetén az 5. évre 17%
Befektetési tanácsadóként mit javasolna - ha a befektetö a végérték maximálására törekszik?
4.
Egy vállalat egy beruházást szeretne megvalósítani. A következö adatok ismertek:
|
|
0 |
1. |
2. |
3. |
4. |
|
M |
|
||||
|
I |
|
||||
|
h |
|
||||
|
Y |
|
A beruházás megvalósításának idöpontjában két finanszírozási lehetöség adódik:
I. Hitelfelvétel a banktól 4 éves futamidöre, 25%-os kamatláb mellett, annuitásos törlesztést feltételezve.
II. Kötvénykibocsátás 4 éves futamidöre.
Kérdés
a) Mit javasolna a vállalatvezetés számára, milyen kondíciók mellett éri meg a kötvénykibocsátás, ha a cél a végérték maximálása?
b) Mennyiben befolyásolja a döntést, ha a hitel rátatörlesztésü?
Megoldások:
1. a)
|
0. periódus: |
40 - 20 = +20 |
|
1. periódus: |
20 x 1,15 = 23 + 0 - 20 = 3 |
|
2. periódus: |
3 x 1,15 = 3,45 + 200 - 20 = 183,45 |
|
3. periódus: |
183,45 x 1,15 + 160 - 20 = 350,9675 |
b)

![]()
|
0. periódus: |
40 - 30 =10 |
|
1. periódus: |
11,5 + 0 - 40 = -18,5 |
|
2. periódus: |
-18,5 x 1,2 + 200 - 30 = 147,8 |
|
3. periódus: |
147,8 x 1,15 + 160 - 30 = 299,97 |
![]()
|
0. periódus: |
40 - 40 = 0 |
|
1. periódus: |
0 + 0 - 40 = -40 |
|
2. periódus: |
-40 x 1,2 + 200 - 40 = 112 |
|
3. periódus: |
112 x 1,15 + 100 - 40 = 248,8 |
![]()
2.
a) TPT
|
A |
0 |
1. |
2. |
3. |
4. |
|
|
600 |
200 |
-100 |
-200 |
-300 |
|
|
-1000 |
500 |
300 |
300 |
250 |
|
y |
-60 |
-72 |
-86,4 |
-103,68 |
-124,416 |
|
|
460 |
-523,6 |
|
|
|
|
|
0 |
-94,4 |
105,728 -219,328 |
-237,5808 241,2608 |
258,963 |
|
|
0 |
0 |
0 |
0 |
84,547 |
|
B |
0 |
1. |
2. |
3. |
4. |
|
|
600 |
200 |
-100 |
-200 |
-300 |
|
|
-1200 |
900 |
400 |
0 |
204 |
|
y |
-60 |
-72 |
-86,4 |
-103,68 |
-124,416 |
|
|
660 |
-765,6 |
|
|
|
|
|
0 |
-262,4 |
293,888 -507,488 |
-558,2368 -254,5568 |
277,467 |
|
|
0 |
0 |
0 |
0 |
57,051 |
|
C |
0 |
1. |
2. |
3. |
4. |
|
|
600 |
200 |
-100 |
-200 |
-300 |
|
|
-800 |
0 |
350 |
650 |
193 |
|
y |
-60 |
-72 |
-86,4 |
-103,68 |
-124,416 |
|
|
260 |
-301,6 173,6 |
-208,32 44,72 |
-52,77 |
|
|
|
0 |
0 |
0 |
-293,55 |
319,97 |
|
|
0 |
0 |
0 |
0 |
88,554 |
Vegyük észre, hogy mindhárom beruházás belsö kamatlába ugyanakkora, mégis a hozamsorok eltérö idöbeli struktúrája miatt a TPT-vel (figyelembe véve a vállalat finanszírozási helyzetét is) egyértelmü döntés hozható.

2.
b)
projekt A ![]()
|
|
0 |
1. |
2. |
3. |
4. |
|
|
465 |
-539,4 |
|
|
|
|
|
|
-82,6 |
92,512 -198,912 |
218,8 -206,48 |
225,0632 |
|
|
|
|
|
|
40,28 |
![]()
|
|
0 |
1. |
2. |
3. |
4. |
|
|
463 |
-537,08 |
|
|
|
|
|
|
-87,32 |
97,7984 -207,0784 |
227,78 -218,916 |
238,62 |
|
|
|
|
|
|
57,98 |
![]()
Projekt B:
![]()
Projekt C:
![]()
2.
c) A - változatlan, mivel az 1. periódus végén már pozitív a periódus végérték;
B - is változatlan;
C - csak C projekt reagál erre a változásra.
|
0 |
1. |
2. |
3. |
4. |
|
600 |
200 |
-100 |
-200 |
-300 |
|
-800 |
0 |
350 |
650 |
193 |
|
-60 |
-72 |
-86,4 |
-103,68 |
-124,416 |
|
260 |
-301,6 173,6 |
-211,792 48,192 |
-56,86 -289,45 |
315,5 |
|
|
|
|
|
84,084 |
3.
TPT IV. alternatívára:
100.000 x 1,13 x 1,14 x 1,45 x 1,15 x 1,17 = 198.459,8
TPT II. alternatívára:
97%-os árfolyamon 100.000 Ft-ért 103.092,8 névértékü részvény vásárolható
|
0 |
1. |
2. |
3. |
4. |
5. |
|
-100.000 |
13.402,1 |
13.402,1 |
13.402,1 |
13.402,1 |
13.402,1 K |
|
|
|
|
|
|
103.092,8 T |
|
|
|
|
|
|
10.309,3 P |
|
|
|
|
|
|
22.733,1 |
|
|
|
|
|
|
19.767,9 |
|
|
|
|
|
|
17.264,5 |
|
|
|
|
|
|
15.144,3 |
|
|
|
|
|
|
201.714 |
K
= kamat, T = töke, P = prémium ![]()
TPT(I) alternatívára két változatban:
Bankba
|
0 |
1. |
2. |
3. |
4. |
5. |
|
-60.000 |
20.000 |
20.000 |
20.000 |
20.000 |
20.000 |
|
|
|
|
|
|
33.924,7 |
|
|
|
|
|
|
29.499,8 |
|
|
|
|
|
|
25.764,0 |
|
|
|
|
|
|
22.600 |
|
-40.000 |
|
|
|
|
79.383,9 |
|
|
|
|
|
|
211.172,4 |
Kötvénybe
|
0 |
1. |
2. |
3. |
4. |
5. |
|
-60.000 |
20.000 |
20.000 |
20.000 |
20.000 |
20.000 |
|
-40.000 |
5.360,8 |
5.360,8 |
5.360,8 |
5.360,8 |
5.360,8 K |
|
|
|
|
|
|
41.237,1 T |
|
|
|
|
|
|
4.123,7 P |
|
|
|
|
|
|
43.017,9 |
|
|
|
|
|
|
37.406,9 |
|
|
|
|
|
|
32.699,7 |
|
|
|
|
|
|
28.657,7 |
|
|
|
|
|
|
212.473,8 |
TPT III. 2 változatban:
Bankba
|
0 |
1. |
2. |
3. |
4. |
5. |
|
-80.000 |
|
|
|
|
160.000 |
|
-20.000 |
|
|
|
|
39.691,9 |
|
|
|
|
|
|
199.691,9 |
Kötvénybe
|
0 |
1. |
2. |
3. |
4. |
5. |
|
-80.000 |
|
|
|
|
160.000 |
|
-20.000 |
2.680,4 |
2.680,4 |
2.680,4 |
2.680,4 |
2.680,4 |
|
|
|
|
|
|
20.618,5 |
|
|
|
|
|
|
2.061,8 |
|
|
|
|
|
|
4.546,6 |
|
|
|
|
|
|
3.953,5 |
|
|
|
|
|
|
3.452,9 |
|
|
|
|
|
|
3.028,8 |
|
|
|
|
|
|
200.342,5 |
4. a)
1. lépés: Az annuitásos törlesztésü hitel törlesztési tervének elkészítése:
![]()
|
|
|
|
|
|
|
|
|
|
|
|
|
1. |
496 |
150 |
104 |
254 |
|
2. |
366 |
124 |
130 |
254 |
|
3. |
203,5 |
91,5 |
162,5 |
254 |
|
4. |
0 |
50,5 |
203,5 |
254 |
2. lépés: TPT elkészítése hitelfelvételre
|
|
0 |
1. |
2. |
3. |
4. |
|
|
600 |
300 |
0 |
150 |
95,85 |
|
|
-1000 |
500 |
600 |
300 |
200 |
|
y |
-200 |
-500 |
-200 |
-300 |
-200 |
|
|
600 |
-254 |
-254 |
-254 |
-254 |
|
|
0 |
-46 |
54,28 -200,28 |
240,336 136,336 |
158,15 |
|
|
0 |
0 |
0 |
0 |
0 |
3. lépés: TPT elkészítése kötvénykibocsátásra
|
|
0 |
1. |
2. |
3. |
4. |
|
|
600 |
300 |
0 |
150 |
95,85 |
|
|
-1000 |
500 |
600 |
300 |
200 |
|
y |
-200 600 |
-500 -x |
-200 -x 354-1,8x |
-300 -x 904,8-2,616x |
-200 -x -600 1223,568-4,19456x > 0 |
|
|
0 |
300-x |
745-2,18x |
1054-3,616x |
719,418-5,19456x > 0 |
![]()
kamatláb max. 23%-os
névleges kamatozású = (x < 138,5)
kötvénykibocsátást jelent
4. b)
1.
lépés: rátatörlesztésü hitel törlesztési terve: ![]()
|
|
|
|
|
|
|
|
|
|
|
|
|
1. |
450 |
150 |
150 |
300 |
|
2. |
300 |
112,5 |
150 |
262,5 |
|
3. |
150 |
75 |
150 |
225 |
|
4. |
0 |
37,5 |
150 |
187,5 |
2. lépés: TPT elkészítése hitelfelvételre
|
|
0 |
1. |
2. |
3. |
4. |
|
|
600 |
300 |
0 |
150 |
95,85 |
|
|
-1000 |
500 |
600 |
300 |
200 |
|
y |
-200 |
-500 |
-200 |
-300 |
-200 |
|
|
600 0 |
-300 0 |
-262,5 -137,5 |
-225 165 -90 |
-187,5 104,4 |
|
|
|
|
|
|
12,75 - 0 |
Vegyük észre, hogy ebben a konkrét szituációban a rátatörlesztésü hitel kedvezöbb az adós számára, mint az annuitásos változat, mert a végérték pozitív, ez esetben magasabb elvárást jelent a kötvénykibocsátóval szemben, vagyis a maximum kamat kisebb lesz.
3. lépés: TPT kötvénykibocsátásra
719,418 - 5,19456 x > 12,75
x < 136,04
22,66% max.
kötvénykamat
TPT elkészítése, ha nem történt volna beruházás
|
|
0 |
1. |
2. |
3. |
4. |
|
|
600 |
300 |
0 |
150 |
95,85 |
|
y |
-200 -400 |
-500 468 -268 |
-200 316,24 -116,24 |
-300 139,5 10,5 |
-200,0 -13,125 |
|
|
|
|
|
|
-91,025 |
III. A PÉNZÜGYI BEFEKTETÉSEK SAJÁTOSSÁGAI
1. a hatékony piacok elmélete
Gyenge hatékonyság: Gyengén hatékony piacokon az árfolyamok minden múltbeli árfolyamalkulásra vonatkozó információt tükröznek.
Közepes hatékonyság: Közepesen hatékony piacokon az árfolyamok minden vállalatra és makrogazdaságra jellemzö releváns nyilvános információt tükröznek.
Erös hatékonyság: Erösen hatékony piacokon az árfolyamok minden vállalati bennfentes információt is tükröznek.
Hatékony piacokon az árfolyamok véletlen bolyongást követnek (random walk). A véletlen bolyongás esetén egy adott napi árfolyam az elözö napi árfolyam és egy véletlen változó összege:
![]()
Technikai elemzés: Az árfolyamokat mozgató tökepiaci információk rövid távú alakulását vizsgálja egyedi matematikai statisztikai eszközök illetve grafikonok segítségével. Egy legalább gyengén hatékony tökepiacon a technikai elemzés értelmetlen, nem vezet gazdaságilag szignifikáns profitokhoz.
Fundamentális elemzés: Az ún. belsö vagy fundamentális érétket kívánja megbecsülni a reálgazdasági folyamatok és a vállalati szintü pénzügyi mutatók segítségével. Egy legalább közepesen hatékony tökepiacon a fundamentális elemzés értelmetlen, nem vezet gazdaságilag szignifikáns profitokhoz.
Passzív portfóliómenedzsment: Az erösen hatékonyon piacokon nem lehetséges szisztematikusan jobban teljesíteni a piaci portfóliónál ezért a jövedelmezö stratégia a piaci indexbe való befektetés (passzív stratégia)
Aktív portfóliómenedzsment: Ha a tökepiac nem hatékony keresni lehet alulárazott értékpapírokat (stock selection) vagy idözíteni lehet hogy mikor érdemes kötvénybefektetéseket részvénypiaci befektetésre cserélni és fordítva (piaci idözítés, market timing). Erösen hatékony piacokon az aktív stratégia értelmetlen, nem vezet szignifikáns profitokhoz.
2. Hasznosságelméleti Alapok:
Normatív hasznosságelmélet: A döntéshozó racionalitását feltételezi és az adott hozam-kockázat viszonyok keretében az optimális hasznosságszint elérésnek módozatait írja elö.
Deskriptív hasznosságelmélet: A döntéshozó irracionalitását vagy korlátozott racionalitását feltételezve nem az optimális megoldást keresi a hasznosságmaximalizáló problémára hanem inkább arra törekszik, hogy a reális döntéshozatal empirikusan dokumentált folyamatát leírja.
A várható érték szabály:
A (x1, x2, ., xn; p1, p2, . pn)
![]()
Abszolút kritérium: a hasznosság várható értékének pozitív elöjele.
Relatív kritérium: mindig a magasabb várható kifizetéssel rendelkezö alternatívát kell választani.
Várható érték - variancia (
) szabály:
Azt a befektetést preferálja, amely azonos kockázati szinten nagyobb várható értéket kínál vagy azonos várható értékhez kisebb kockázatot rendel.
Hasznossági függvény: A vagyon egyes értékeihez szubjektív értéket rendel: U(w)
Kockázati attitüd:
A kockázattal szembeni szubjektív viszony, a kockázat-megtérülés átváltás egyéni értelmezése.
Kockázatkerülö magatartás:
A kockázatkerülö döntéshozó hasznossági függvénye konkáv és növekvö (a csökkenö határhaszon törvényének megfelelöen)
Kockázatkeresö magatartás:
A kockázatkerülö döntéshozó hasznossági függvénye konvex és növekvö (nem érvényesül a csökkenö határhaszon törvénye)
Kockázatsemleges magatartás:
Biztonságos (kockázatmentes) egyenértékes
(Certainty equivalent, CEQ): Az a biztos vagyonösszeg, amely ugyanazzal a hasznossággal rendelkezik,
mint a vizsgált kockázatos vagyonösszeg:
RP
W1 és W2 - az összvagyon két tetszöleges szintje
E(w) - a vagyon várható értéke (kockázatos összeg!)
CEQ(E(w)) - az E(w) kockázatos összegnek megfelelö biztonságos egyenértékes (biztos összeg!)
Arrow - Pratt féle abszolút kockázati tartózkodás mutató:
![]()
Kockázati prémium:
![]()
A kockázati prémium az egyén hasznossági függvényétöl, pontosabban annak deriváltjaitól függ, ugyanakkor a kockázati prémium egyenlö a kockázatos összeg várható értéke és a neki megfelelö biztonságos egyenértékes közötti különbséggel.
Kockázatkerülö befektetö: RP>0 (csak többletmegtérülés fejében vállal kockázatot)
Kockázatsemleges befektetö: RP=0
Kockázatkeresö befektetö: RP>0 (még ö fizet azért hogy a kockázatos játékban, befektetésben részt vehessen)
![]()
Pozitív hasznosságelmélet:
Kilátáselmélet (prospect theory): Egy döntési alternatíva értékét nem a kimenetek hasznossága határozza meg, hanem az hogy a kimenetek mennyivel járulnak hozzá a vagyoni helyzet megváltozásához?
Feltételezések:
- 646g66g 646g66g a csökkent arányosság elve: az észleléshez képest a reakciók tompítottabbak, a szubjektum eltorzítja a valóságot
- 646g66g 646g66g aszimmetria: egy adott állapothoz képesti elmozdulásra nem szimmetrikusak a döntéshozó reakciói: a vagyoni helyzet csökkenésére érzékenyebben reagálunk, mint annak növekedésére.
- 646g66g 646g66g A vagyoni változására történö reagálás nagyrészt a vonatkoztatási ponttól (jelenlegi vagyoni helyzettöl) függ.
A kilátáselmélet hipotetikus értékfüggvénye:
Az értékfüggvény tulajdonságai:
- 646g66g 646g66g a nyereség szakaszán konkáv ekkor a befektetök általában kockázatkerülök
- 646g66g 646g66g a veszteséges szakaszon konvex, a befektetök kockázatbaráttá válnak
- 646g66g 646g66g nem szimmetrikus: a veszteséges szakasz meredekebb mint a nyereséges, a konvexitás nagyobb mértékü mint a konkavitás: azaz a veszteség okozta bánat erösebb mint a nyereség okozta öröm
A bekövetkezési valószínüségek észlelése a döntési súlyfüggvény segítségével történik.
A súlyfüggvény azt mutatja hogy a szubjektív preferenciák és a torzult észlelés mennyire érzékenyes követi a valószínüségeloszlást.
A kilátáselmélet hipotetikus döntési súlyfüggvénye:

A súlyfüggvény tulajdonságai:
- 646g66g 646g66g csökkent arányosság elve: a döntéshozatalban a legvalószínübb eseményeket a döntéshozók alulbecsülik az extrém eseményeknek pedig a normálisnál nagyobb valószínüséget tulajdonítanak.
A kilátáselmélet abszolút kritériuma: Akkor érdemes a befektetési alternatívát megvalósítani ha a döntési súlyokkal képzett értékfüggvénye pozitív:
3. Kötvények értékelése:
A kötvény általában fix kamatozású hosszú lejáratú hitelviszonyt megtestesítö átruházható értékpapír. A kötvény tulajdonosa a kamatok és a névérték törlesztésének bizonyos sorozatára jogosult.
Névérték: A tartozás névleges összege a kibocsátó általában ezen az árfolyamon vásárolja vissza a kötvényt annak birtokosától.
Névleges kamatláb (szelvénykamatláb): Az éves kamat a névérték százalékában
Árfolyam: Adott névértékü kötvény pillanatnyi piaci ára általában a névérték százalékában kifejezve.
A kötvényárfolyam paritásos, ha megegyezik a kötvény által biztosított pénzáramlások jelenértékével
Pari alatt jegyzett (alulértékelt) a kötvény, ha árfolyama kisebb, mint pénzáramainak jelenértéke, ellenkezö esetben pari felett jegyzett (felülértékelt).
Kötvények föbb típusai:
Elemi kötvény (zérokupon kötvény): nem fizet szelvénykamatot, hanem egyetlen jövöbeli idöpontban ( a lejáratkor) teljesít kifizetést. Kibocsátása diszkontárfolyamon történik. A kötvénybefektetö nyeresége a névérték és a kibocsátási diszkont árfolyam különbsége.
Kamatszelvényes (klasszikus) kötvény: rendszeres idöközönként szelvénykamatot fizet, általában névértéken bocsátják ki, a névértéket pedig a lejáratkor egy összegben törlesztik vagy a futamidö alatt egyenletesen (sinking fund).
Opciós tulajdonságú kötvények:
1.Visszahívható kötvény: egy elöre meghatározott idö után a kibocsátó egy elöre rögzített árfolyamon visszavásárolhatja a kötvényét.
2.Átváltható kötvény: a kötvénybefektetö meghatározott számú részvényre válthatja át kötvényét amely az átváltásig kötvényként az átváltás után részvényként viselkedik
3.Opciós utalványos (warrantos) kötvény: általában egy hosszú lejáratú opció amelyet egy vállalat saját részvényeire vagy kötvényeire bocsát ki. Az átválthatóval szemben az utalvány egy különálló értékpapírként funkcionál, érvényesítéskor készpénzben ki kell fizetni a szóban forgó opcióban megnevezett részvények árát.
Államkötvény: Az államkincstár (pénzügyminisztérium) által kibocsátott, egy évnél rövidebb kincstárjegy vagy egy évnél hosszabb lejáratú szelvényes kötvény.
Önkormányzati kötvény: a helyi közigazgatási egységek által kibocsátott rendszerint adómentes kötvények
Vállalati kötvény: eltérö kockázati szintjük miatt eltérö hozamígérettel rendelkeznek, figyelni kell a kötvényminösítö vállalatok minösítéseire
Euro (xeno) kötvény: egy, a kibocsátás helyéhez képest külföldi devizában jegyzett államkötvény-kibocsátás. Pl. USD- denominált kötvények kibocsátása Japánban
3.1. Kötvények jelenérték-orientált értékelése:
Hatékony kötvénypiacon a kötvény egyensúlyi árfolyama a kötvény pénzáramlásainak jelenértékével egyenlö
Felhasznált jelölések:
P - a kötvény árfolyama
r- piaci hozam (kalkulatív kamatláb)
N- névérték
k- névleges (szelvény-) kamatláb
T- végsö törlesztés (ami prémium esetén nagyobb a névértéknél)
n- futamidö
Ez az egyes konkrét kötvényfajták esetén a következö formát ölti:
Kamatszelvényes kötvény:

éven belüli kamatozás esetén:

vagy

ahol
![]()
ahol m-éven belüli szelvényfizetések száma
Zérokupon kötvény:
Annuitásos kötvény (sinking fund):

ahol A az annuitás azaz a kamat és a névérték törlesztörészletének éves szinten azonos összege.
Örökjáradék (konzol) kötvény:
A fent ismertetett árfolyamok úgynevezett nettó árfolyamok (clean price), nem tartalmazzák az idöarányos kamatot (accrued interest). Ezzel szemben a bruttó árfolyamok az idöarányos kamatot is tartalmazzák:
Bruttó árfolyam = nettó árfolyam + k*N* n1/n2
Ahol
n1 - az utolsó szelvényfizetés óta eltelt napok száma
n2 - a napok száma egy évben (az egyes konvenciók függvényében eltérö lehet pl. 365 vagy 360)
korrigált kamatláb:
(ezt abban az esetben
számoljuk, ha nem névértéken, hanem prémiummal történik a végsö törlesztés,
T≠ N.
A kötvényárfolyamok konvergencia tulajdonsága:

A kötvény árfolyam a lejárathoz közeledve a névértékhez tart. Természetesen ha prémiummal történik a törlesztés akkor az árfolyam a prémiumot is tartalmazó végsö törlesztörészlethez (T) tart. Az ábra a nettó árfolyamok konvergenciáját szemlélteti.
1. 646g66g Ha a piaci
hozam nagyobb mint a kötvény korrigált kamatlába (r>
) akkor a kötvényárfolyam alulról közelíti a névértéket (vagy
végsö törlesztést).
2. 646g66g Ha a piaci
hozam kisebb mint a kötvény korrigált kamatlába (r<
) akkor a kötvényárfolyam fel közelíti a névértéket (vagy
végsö törlesztést).
3.2. Hozam-orientált értékelés
A kötvény belsö megtérülési rátája (lejárati hozama)
Az a hozamráta, amely mellett a kötvény pénzáramainak jelenértéke éppen megegyezik a piaci árfolyammal. A lejárati hozam ugyanazokkal a hiányosságokkal rendelkezik, mint a belsö megtérülési ráta.
A zérókupon kötvény effektív hozama: 
Tulajdonképpen egy belsö kamatlábnak felel meg a kamatos kamat szabályai szerint
A zérókupon kötvény loghozama: 
A logaritmikus hozamokat (loghozamokat) elsösorban additív tulajdonságuk miatt használjuk (pl. a heti loghozam a napi loghozamok összege).
Szelvényhozam (current yield):
Egyszerü lejárati hozam (simple yield
to maturity):
Teljes lejárati hozam (Yield to maturity) közelítö számításának módja:

Mivel a SYTM jó közelítése a YTM-nek ezért elsö próbahozamrátának az SYTM-et választhatjuk:
r1 = SYTM r2 pedig 1%-al tér el r1 - töl.
Ez egy lineáris interpoláció két próbakamatlábat (r1 és r2) felhasználva:
Ha a P(r1)<P0 akkor r2> r1- et kell választani ellenkezö esetben r2 < r1
Ex post hozam, annak átlaga, szórása:


Az ex post hozam számításához elsösorban a kötvény szelvénykamatainak ujrabefektetéséböl származó jövöértéket kell meghatározni
Reál hozam: az infláció hatásától megtisztított hozam:
ahol i ezúttal az inflációs rátát jelöli
Hozamgörbe (a kamatlábak lejárati szerkezete):
Az azonos típusú és kockázatú kötvények hozamait ábrázolja a lejárat (idö) függvényében
Típusai:
1. 646g66g Normál (emelkedö):

A normál hozamgörbe magyarázata:
Hosszabb lejáratokhoz magasabb hozamok tartoznak mert:
- 646g66g 646g66g a befektetök többlethozamot várnak el amiért likviditásról mondanak le (likviditáspreferencia-elmélet)
- 646g66g 646g66g hosszabb távon enyhe inflációs várakozások tapasztalhatóak (várakozási elmélet)
2. Inverz:

- 646g66g 646g66g erös dezinflációs várakozások esetén tapasztalható
2. 646g66g
Púpos:
3.4. A Kötvények Kockázati Elemzése
1. 646g66g Kamatkockázat
A kamatlábak (piaci hozamok) és a kötvény árfolyama ellentétes irányban mozognak, a hozam emelkedése csökkenti a kötvény árfolyamát. A kötvény árfolyama tehát változik (kockázatos) a kamatláb (hozam) változásának függvényében.
Minden egyes kötvény eltéröen reagál a piaci hozam megváltozására. A hozamváltozás árfolyamra gyakorolt hatása több tényezötöl is függ:
- 646g66g 646g66g a kötvény pénzáramainak idöbeli struktúrája
- 646g66g 646g66g a hozamváltozás erössége és iránya
- 646g66g 646g66g a kötvény lejárata
A kötvény durációja (átlagideje)
Az egyes kifizetésekig hátralevö idötartamok súlyozott számtani átlaga ahol a súlyokat az egyes kamatfizetések jelenértéke és a kötvény teljes jelenértékének (árfolyamának) aránya határozza meg:

A duráció és az árfolyamváltozás kapcsolata az úgynevezett volatilitáson vagy módosított duráción keresztül valósul meg:

A duráció hármas jelentéstartalma:
Zérókupon kötvény durációja: DUR = n
Kamatszelvényes kötvény durációja: 
Annuitásos kötvény durációja: 
Örökjáradék-kötvény durációja: 
Görbület (konvexitás)
A kötvényárfolyam hozam szerinti második deriváltjának és az árfolyam hányadosa:


A fenti ábrán a felsöbb kötvény nagyobb görbületü, ami elönyösebb a kötvénybefektetönek, hiszen hozamemelkedés esetén kisebb árfolyamveszteséget könyvelhet el, hozamcsökkenés esetén pedig nagyobb árfolyamemelkedésre számíthat.
Árfolyam-változás elörejelzés logkamatlábbal (folytonos kamatlábbal)

Ez a képlet azt mutatja hogy úgy kaphatunk pontosabb elörejelzést a kötvényárfolyam-megváltozására ha a duráción kívül a görbületnek a hatását is figyelembe vesszük
4. részvények értékelése:
Jelölések:
D, DIV - osztalék
P - részvényárfolyam
Re -részvényektöl elvárt megtérülés (részvénytöke költsége)
g - osztalékok (vagy a nyereség) növekedési üteme
Hatékony piacokon a részvény egyensúlyi árfolyama a jövöbeli várható osztalékáramok jelenértéke:

Ami a következökre egyszerüsödik az egyes értékelési modellek esetén:
Konstans osztalék esetén (örökjáradék)

Gordon - Shapiro (konstans osztalék-növekedési modell):

A Gordon Shapiro értékelési modellt csak akkor használhatjuk ha a elvárt hozam (re) nagyobb mint az osztalék növekedési üteme (g)
Az osztalékok növekedési üteme meghatározható pl. a következöképpen:
g = ROE * b
ahol ROE (Return on equity) - a részvényegységre jutó megtérülés
b = az újrabefektetési ráta = 1- osztalékkifizetési ráta
Részvényegységre jutó nyereség (Earnings per share, EPS):

ahol NP - nettó profit
N - forgalomban levö részvények száma

Ez a képlet azt mutatja, hogy a részvényárfolyam egyik részét az EPS-en keresztül a vállalati eredmények (nyereség) befolyásolja másik összetevöje pedig az úgynevezett növekedési lehetöségek jelenértéke (PVGO). Ha az elsö összetevö nagyobb, akkor érték-részvényröl (value stock) beszélünk ha pedig a második, akkor "növekedési" részvényröl.
Árfolyam-nyereség (P/E, PER) hányados:
A PER mutató azt mutatja, hogy egységnyi vállalati nettó nyereséget mennyire értékel (áraz be) a piac?
A PER mutató értelmezéséhez azt mindig a hasonló gazdaségi ágazatban müködö és azonos kockázati szinttel jellemezhetö vállalatok PER értékével kell összehasonlítani.
A relatíve alacsony PER érték a fundamentális elemzök szerint alulértékelt részvényre utal.
A PER mutatót olyan vállalkozások részvényei esetén érdemes a leginkább alkalmazni amelyeknél nincs elörejelzett növekedés az osztalékokat illetöen.
A PER mutató másik értelmezése szerint az tulajdonképpen egy megtérülési idö jelleggü mutató tehát az alacsony PER értékü részvényekbe befektetett
Amennyiben nem feltételezünk növekedést tehát a nettó nyereséget teljes egészben osztalékok formájában fizetik ki (nincs visszaforgatott profit) akkor a részvényektöl elvárt hozam a PER mutató alapján is meghatározható:

növekvö osztalékáram esetén:

Részvény-hozamok:
Tényleges (ex post) hozamok:

ahol Pt illetve a P0 az árfolyam a végsö illetve kezdö idöpontban Dt pedig a t idöszakban esedékes osztalék

Az elvárt hozam a tökepiaci árfolyamok egyensúlyi modellje (Capital Asset Pricing Modell, CAPM alapján):
![]()

a szisztematikus
kozkázat méröszáma. Abból származik hogy az értékpapírpiaci termékek hozama
között együttmozgás (korreláció) tapasztalható, ezért a szisztematikus kockázat
nem szüntethetö meg diverzifikáció segítségével (nem diverzifikálható
kockázat).
A CAPM modell egyszerü értelmezése: Minél nagyobb a szisztematikus kockázat (béta) annál nagyobb megtérülést vár el a piac az illetö értékpapírtól
A teljes kockázat felbontása:
ahol az összeg elsö tagja a portfólió szisztematikus kockázata, a második tag pedig az ún. specifikus kockázat
Markowitz:
A befektetések hatékony határvonala:

A hatékony határvonalon (vastag) öszereplö portfóliók dominálják a többi portfóliót hiszen azonos kockázat mellet magasabb hozamot ígérnek.
Egy portfólió (értékpapír-együttes) várható hozama a portfolióban szereplö értékpapírok várható hozamának átlaga:

ahol w-vel a portfóliót alkotó értékpapírok portfólión belüli súlyát (részarányát) jelöljük: wi=az "i"-dik értékpapír piaci értéke (árfolyama) / a teljes portfólió piaci értéke
A portfólió varianciája (kockázata):
Cov- val az értékpapírok hozamai közötti együttmozgást (kovarianciát) jelöltük, ρ pedig az értékpapírok hozamai közötti korrelációs együttható.
A képletböl az derül ki, hogy miközben egy portfólió várható hozama a benne szereplö értékpapírok várható hozamának súlyozott átlaga addig a kockázat nem adható közvetlenül össze, hanem számításba kell venni az értékpapírok hozama közötti kovarianciát is.
KÉRDÉSEK
I. 646g66g 646g66g 646g66g 646g66g 646g66g Igaz vagy hamis?
a) 646g66g Növekvö relatív kockázati tartózkodás esetén a befektetö, vagyonának növekedésével százalékos arányban kevesebbet fektet kockázatos eszközökbe.
b) 646g66g A racionális befektetök általában kockázatsemlegesek
c) 646g66g Csökkenö relatív kockázati tartózkodás esetén a befektetö, vagyonának növekedésével százalékos arányban kevesebbet fektet kockázatos eszközökbe.
d) 646g66g A hasznossági függvény tulajdonképpen biztonságos egyenértékesek sorozata.
e) 646g66g Gyengén hatékony tökepiacon a technikai elemzés módszerei nem alkalmazhatók
f) 646g66g Ha az értékpapír-piac nem hatékony, az árfolyamok véletlen bolyongást követnek
g) 646g66g Növekvö abszolút kockázati tartózkodás esetén a befektetö, vagyonának növekedésével abszolút értékben többet fektet kockázatos eszközökbe
h) 646g66g A racionális befektetök általában kockázatkerülök
Erösen hatékony tökepiacon csak nullához közeli nettó jelenértékü tranzakciók köthetök
II. 646g66g 646g66g 646g66g 646g66g Igaz vagy hamis?
a) 646g66g Egy értékpapír-portfólió várható hozama az azt alkotó értékpapírok várható hozamának összegével egyenlö
b) 646g66g A kisebb durációjú kötvény árfolyama kevésbé érzékeny a tökepiaci hozam változására
c) 646g66g A nem-szisztematikus (specifikus) kockázat diverzifikálható kockázatot jelent
d) 646g66g Ha a piaci hozam kisebb, mint a korrigált kamatláb akkor a kötvény árfolyama felülröl közelít a prémiumos törlesztéshez
e) 646g66g A nagyobb görbületü kötvény esetén jobb árfolyam-elörejelzéseket lehet végezni
f) 646g66g Az aritmetikai hozamokat elsösorban azért használják, mert idöben összeadhatók (additívak)
g) 646g66g A bonitási kockázat kötvények esetén a nemfizetés kockázatát jelenti
h) 646g66g Egy értékpapír-portfólió varianciája az azt alkotó értékpapírok varianciájának összegével egyenlö
i) 646g66g A kötvény abban a periódusban kamatimmun, amely a durációjával egyenlö
j) 646g66g A logaritmikus hozamokat elsösorban azért használják, mert idöben összeadhatók (additívak)
k) 646g66g A törlesztési kockázat kötvények esetén a nemfizetés kockázatát jelenti
l) 646g66g Növekedésorientált részvények esetén mindig érdemes alacsony PER-mutatójú részvényekbe fektetni, hiszen ezek esetében gyors a befektetés megtérülése
FELADATOK
1. Egy 100 Ft névértékü kötvény hátralevö futamideje 4 év, kamatszelvénye 18%. A törlesztés az utolsó 3 évben esedékes, 50-25-25%-os részletekben. A hasonló kamatozású és futamidejü kötvényektöl elvárt hozam 25%.
a) 646g66g Írja fel a kötvény pénzáramlását
b) 646g66g Mennyit fizetne most ezért a kötvényért?
Megoldás
a)
|
Idö |
szelvény |
Törlesztés |
Összesen |
|
1 2 3 4 |
18 18 9 4,5 |
50 25 25 |
18 68 34 29,4 |
b)![]()
Megoldás
![]()
Határozzuk meg az azonnali hozamok görbéjét
Megoldás


Megoldás
a) P=80/0,1=800 RON
DUR=(1+r)/r=1,1/0,1=11 év
VOL=-DUR/(1+r)=-11/1,1=-10 év
b) dP/P = VOL * dr = - 10*0,1%= -1%
5. Adott egy 5 éves futamidejü, 18% névleges kamatozású kamatszelvényes kötvény. A piaci hozam 20%. Mennyi idö múlva lesz a kötvény végértéke immunis a piaci hozam változásaira? (15 pont)
Megoldás
év
Az A kötvény névleges kamatlába 10%, a B kötvényé 20% (3 év lejáratúak) és ismertek a következö elemi kötvényárfolyamok: P1=0,9, P2=0,8, P3=0,7. Melyik kötvényt vásárolná meg, ha bizonytalan irányú de jelentös kamatláb-változásra számít?
Megoldás

A 3-as feladatban kiszámolt piaci
hozamokat kell felhasználni az egyes idöszakokhoz tartozó súlyok (w)
kiszámításához:
![]()
Azt amelyiknek nagyobb a görbülete:
|
Idö |
A |
wA |
B |
wB |
|
1 2 3 |
10 10 110 |
0,09 0,085 0,8192 |
20 20 120 |
0,1525 0,1355 0,7119 |
![]()
![]()
![]()
Hasonlóan Cx(B)=7,101 ezért az "A" kötvényt választjuk
Megoldás

Megoldás
Mivel g>r ezért nem határozható meg az egyensúlyi árfolyam
Megoldás

4. Mekkora a részvény osztalékainak növekedési üteme, ha az árfolyama 120 Ft, a jövö évi osztalék 10 Ft, a kockázatmentes kamatláb 10%, a piaci hozam 15% és a részvény bétája 0,8?
Megoldás
Re=10%+1,8*8%=24,2%
g = re- DIV1 / P = 0,244 - 10 / 125 = 16,4%
8. Mekkorára becsüli a piac a részvény növekedési lehetöségeinek jelenértékét, ha az árfolyama 120 Ft, a jövö évi részvényegységre jutó nettó nyereség 10 Ft, a kockázatmentes kamatláb 10%, a piaci hozam 15% és a részvény bétája 0,8?
Megoldás
Megoldás

3. Egy részvény idei osztalékát, 60 RON-t holnap fogják kifizetni a részvény tulajdonosának. Ez az érték az elörejelzések szerint évi 12%-al fog növekedni. Az elvárható éves hozam (kalkulatív kamatláb) 15%. Mekkora az elméleti árfolyam?
Megoldás

Találat: 1040